Artículo Transferencia inalámbrica de energía: revisión Kalina Detka y Krzysztof Górecki * Departamento de Electrónica Marina, Facultad de Ingeniería Eléctrica, Universidad Marítima de Gdynia, Morska 83, 81-225 Gdynia, Polonia * Correspondencia: k.gorecki@we.umg.edu.pl
Resumen: Este artículo presenta el estado actual del conocimiento en el campo de la transferencia de energía inalámbrica. Se describe el concepto de dicha transferencia y los métodos básicos de su implementación, junto con diagramas de bloques de los dispositivos necesarios. Se caracterizan las tecnologías de transferencia de energía eléctrica a cortas y largas distancias. Se analiza con gran detalle la tecnología de transferencia de energía eléctrica más popular basada en el fenómeno de la inducción electromagnética. El análisis de la influencia de factores tales como el factor de acoplamiento, la forma de las bobinas, el tipo de material ferromagnético del que está hecho el núcleo de las bobinas y la posición mutua de las bobinas transmisora y receptora se analizan en las propiedades de el sistema inalámbrico de transferencia de energía. Se muestran las ventajas y desventajas de las tecnologías utilizadas. Además, se presenta un sistema inalámbrico de transferencia de energía para cargar las baterías de vehículos eléctricos. También se presentan los estándares de transferencia de energía inalámbrica y se describen las tendencias de desarrollo
Palabras clave: transferencia de energía inalámbrica; DAP; vehículo eléctrico; transferencia de potencia inductiva; transferencia de energía de campo cercano; transferencia de energía de campo lejano; LPT; MPT 1.
Introducción
En los últimos años se han observado importantes avances tecnológicos en la producción de dispositivos electrónicos portátiles y electrónicos de potencia para diversos fines. Se caracterizan por tamaños más pequeños y mayor eficiencia energética, así como valores más altos de potencia transformada [1,2]. A pesar del alto avance tecnológico de los dispositivos portátiles mencionados, se ha observado un problema de reposición de energía en la batería de suministro. Actualmente, los dispositivos electrónicos como teléfonos, tabletas y ordenadores pueden funcionar sin recargar hasta varias decenas de horas [3]. Sin embargo, los dispositivos portátiles mencionados necesitan una recarga frecuente o la compra de otras baterías. Esto genera costos adicionales y no favorece la política mundial de protección ambiental [4,5]. Una solución interesante a este problema es la transferencia de energía inalámbrica. Un pionero en esta área (transferencia de energía mediante densidad de flujo electromagnético) fue el científico serbio Nikola Tesla [6], quien en 1891 diseñó la bobina de Tesla, que era un dispositivo con una longitud de unos 40 m. La bobina de Tesla funcionaba con una señal de 300 kW a una frecuencia de 150 kHz y podía transmitir electricidad hasta 3 km sin utilizar un cable [7]. Como siguiente paso, el científico serbio planeó construir un sistema para la transmisión inalámbrica universal de electricidad mediante torres de transmisión y recepción. La Torre de Transmisión Experimental de Tesla se construyó en Long Island (conocida como Torre Wardenclyffe). Sin embargo, debido a la falta de fondos para futuras investigaciones, el proyecto Tesla se cerró en 1906 y la torre fue demolida en 1917 [8]. John Schuder (1961) [9], William Brown (1964) [10] y Peter Glaser (1968) [11] también llevaron a cabo experimentos posteriores en el campo de la transferencia de energía inalámbrica. Sin embargo, no fue hasta aproximadamente 2007 que se prestó más atención a estos sistemas, cuando un grupo de científicos del MIT diseñó un modelo funcional del sistema de transferencia inalámbrica de energía (WPT), que permitía la transmisión de la electricidad necesaria para encender una bomba de 60 W. bombilla a una distancia de 2 m [6,12].
Los sistemas inalámbricos de transmisión de energía, además de sus aplicaciones para cargar las baterías de los dispositivos electrónicos de consumo mencionados anteriormente, también se utilizan cada vez más en la industria automotriz para cargar baterías de vehículos eléctricos [13-15], para la minería en lugares donde no es posible su uso. energía cableada convencional [16] y en medicina [17-20].
El objetivo de este artículo es analizar las propiedades de los sistemas inalámbricos de transferencia de energía con un énfasis particular en la transferencia inalámbrica inductiva de energía. Este artículo presenta las características generales de la TIP, analiza las ventajas y desventajas de estos sistemas y analiza un área seleccionada de la industria en la que esta tecnología está comenzando a desarrollarse más ampliamente.
La Sección 2 presenta la clasificación de las tecnologías TIP disponibles y describe el principio de funcionamiento de cada una de ellas.
La Sección 3 describe las ventajas y desventajas de la transferencia de energía inalámbrica,
la Sección 4 presenta el estándar de WPT más comúnmente utilizado para cargar pequeños dispositivos móviles
y la Sección 5 describe un ejemplo del uso de sistemas WTP en la industria.
2. Clasificación de los sistemas inalámbricos de transferencia de energía
Los sistemas inalámbricos de transferencia de energía (TIP), también conocidos como transferencia inalámbrica de energía o carga inalámbrica de energía [7], permiten la transmisión de electricidad entre la fuente de energía y la carga sin el uso de conexiones físicas en el forma de cables [7,21-24]. La transferencia inalámbrica de energía (TIP) suele dividirse en dos categorías debido a los mecanismos de transmisión de energía [25-27]:
- Transferencia de energía de campo lejano, también conocida como método radiativo;
- Transferencia de energía de campo cercano, también conocida como método no radiativo.
En la Figura 1 se muestra una clasificación detallada de los sistemas inalámbricos de transferencia de energía.
.
Figure 1. Classification of wireless power transferComo se muestra en la Figura 1, los sistemas inalámbricos de transferencia de energía de campo lejano se dividen en sistemas que utilizan microondas para transmitir energía, denominados transferencia de potencia por microondas (MPT), y aquellos que utilizan tecnología láser, denominada transferencia de potencia láser (LPT). A su vez, los sistemas inalámbricos de transferencia de energía de campo cercano también se dividen en dos categorías: transferencia de potencia inductiva (IPT), donde la energía se transmite mediante un campo magnético, y transferencia de potencia capacitiva (CPT), donde la energía se transfiere mediante un campo eléctrico. Además, la transmisión de energía mediante IPT se puede realizar con una de dos tecnologías: transferencia de energía inalámbrica acoplada (CWPT) o transferencia de energía inalámbrica por resonancia acoplada magnéticamente (MCRWPT). La Sección 2.1 presenta una breve descripción de la tecnología de transferencia de energía inalámbrica de campo lejano, incluidos MPT y LPT, luego la Sección 2.2 describe la tecnología de transferencia inalámbrica de campo cercano con mayor detalle, incluidos IPT y CPT.
2.1. Transferencia de energía inalámbrica de campo lejano
La transferencia de energía inalámbrica de campo lejano utiliza una onda electromagnética en forma de señal de radiofrecuencia para la transferencia de energía. Luego, el transmisor irradia energía utilizando el campo eléctrico de la onda electromagnética. Como se mencionó anteriormente, este tipo de transferencia de energía inalámbrica se divide en dos grupos [25]: transferencia de energía por microondas (MPT) y transferencia de energía por láser (LPT), que se analizan con mayor detalle en las Secciones 2.1.1 y 2.1.2.
2.1.1. La transferencia de energía por microondas
MPT es un tipo de transmisión inalámbrica de energía realizada mediante radiación electromagnética con el uso de microondas. Esta tecnología es muy utilizada en la industria de la aviación para suministrar, por ejemplo, barcos no tripulados. El principio de funcionamiento de esta solución se basa en el uso de dispositivos de microondas para irradiar una señal en forma de onda de radio a través de una antena adecuada. En el receptor, que también es antena, la energía almacenada en el campo eléctrico de la onda se transfiere a la carga. Una ventaja significativa de este tipo de transmisión es el alto valor de la potencia transmitida, una muy buena adaptación al medio ambiente y una gran flexibilidad en la transmisión y recepción de señales. Debido a estos factores, este tipo de transmisión de energía se utiliza cuando existe la necesidad de alimentar dispositivos ubicados a grandes distancias y que operan en diferentes condiciones climáticas [25,28]. Sin embargo, una limitación importante en el uso de esta tecnología es la muy baja eficiencia de transmisión, que no supera el 10% [25,28], y la necesidad de utilizar transmisores (antenas) muy grandes. Esta solución también es muy cara.
2.1.2. Transferencia de energía láser
Dado que para la transmisión de energía se necesitan antenas de gran tamaño, se presta cada vez más atención a la transmisión de energía mediante un rayo láser. Este método de transmisión de energía utiliza luz láser altamente concentrada dirigida al receptor de energía para obtener la mayor eficiencia de transmisión posible a distancias muy largas. En este tipo de solución, el transmisor del sistema de transmisión de energía inalámbrica convierte la energía eléctrica de la fuente (por ejemplo, una batería) en un haz de luz monocromático utilizando un láser [29,30]. A su vez, mediante un complejo sistema óptico, este haz se dirige y transmite al receptor, que suele ser un conjunto de paneles fotovoltaicos colocados sobre satélites. Luego, en el receptor adaptado a los parámetros del haz, la energía de la radiación láser se convierte nuevamente en energía eléctrica, que se utiliza para cargar las baterías de los satélites o de los motores instalados en ese lugar [30]. El componente esencial de estos sistemas, al igual que los MPS, es el módulo rectificador, que debe caracterizarse por un alto valor de eficiencia. Normalmente, el módulo rectificador induce una pérdida de energía, lo que reduce la eficiencia en un 10% [31]. El rectificador de alta eficiencia tiene las funciones de estabilizar y amplificar la corriente impulsora, minimizando así las pérdidas asociadas con su circuito en un proceso ampliamente descrito en [32,33]. La desventaja de esta solución en comparación con la transmisión de energía por microondas es la necesidad de que el receptor utilice complejos sistemas de seguimiento y monitorización, necesarios para transmitir con precisión el rayo láser al receptor [25], ya que la radiación láser puede ser peligrosa para las personas y el medio ambiente. ambiente. En comparación con la transmisión de energía de microondas, el rayo láser también es más susceptible a la absorción atmosférica y a la dispersión por las nubes, la lluvia, la nieve y la niebla [25,33]. Sin embargo, el método de transmisión inalámbrica de energía mediante un láser se ha vuelto tan atractivo que, en el marco del programa (SPRINT) de la Red de Investigación e Innovación Tecnológica del Reino Unido, la empresa británica Space Power, en cooperación con científicos de la Universidad de Surrey. , planea lanzar un prototipo de dispositivo LPT, que se utilizará para iluminar satélites que orbitan cerca de la Tierra durante un eclipse. La comercialización de la solución propuesta está prevista para 2025 [25,34].
2.2. Transferencia de energía de campo cercano
Un sistema típico para transmisión inalámbrica misión de la energía consta de un transmisor y un receptor. La energía dentro de este sistema de transmisión se puede transmitir a través de un imán. o campo eléctrico [23,24,35,36]. En este caso se utiliza una de las dos técnicas de transmisión de energía eléctrica, la técnica inductiva (IPT) o la capacitiva (CPT) [25].
En el caso de la transmisión de energía mediante un campo magnético, el transmisor y el receptor son bobinas. Por otro lado, la transmisión de energía mediante un campo eléctrico es posible con el uso de dos condensadores planos: un transmisor y un receptor [37]. La transferencia de energía de campo cercano es la más descrita debido al gran interés que suscita su desarrollo y su uso generalizado en diversas industrias (como la biomedicina, la implantología, los dispositivos portátiles, los robots submarinos, los sensores submarinos y los vehículos eléctricos). Además, también es la tecnología de transferencia de energía inalámbrica más desarrollada [16,21,25,38]. La Figura 2 muestra el principio de transmisión de energía eléctrica mediante el método de inducción. Este método es el método más utilizado en la categoría de IPT de campo cercano.
Figura 2. Transferencia de energía inalámbrica mediante tecnología inductivaEl principio de transmisión de energía eléctrica por el método de inducción se basa en el principio de funcionamiento de un transformador de aire. Cuando se conecta una fuente de tensión alterna Up con amplitud U0 y frecuencia f a los terminales del devanado primario del transformador, la corriente fluye a través del devanado primario N1. El resultado es que creará un flujo magnético variable en el tiempo que influye en el devanado secundario N2. Debido al fenómeno de la inducción electromagnética, que es el resultado de la formación de una fuerza electromotriz en el devanado secundario, la corriente también fluirá. En el caso en que las líneas de fuerza del campo magnético con inducción B sean perpendiculares a la superficie S a través de la cual pasa el flujo magnético, y además el campo magnético sea homogéneo, entonces la expresión del flujo magnético se expresa por [39]

Según la ley de Faraday, el valor de la fuerza electromotriz inducida ɛ es igual al producto del número de vueltas N2 del devanado secundario y la derivada temporal del flujo del campo magnético ϕ. Teniendo en cuenta la dependencia (1), la fuerza electromotriz se expresa por [39]
Suponiendo que las pérdidas en el devanado son insignificantes, también se puede suponer que los voltajes en los devanados N1 y N2 serán iguales a las fuerzas electromotrices. Entonces, los valores efectivos del voltaje en los devanados del enésimo devanado del transformador se pueden determinar a partir de la fórmula
donde Nn denota el n-ésimo número de devanado, k es el coeficiente acoplado y Bm la amplitud de la densidad de flujo magnético.
2.2.1. La tecnología IPT
La transferencia de energía inductiva se basa en el concepto de las leyes de Amper y Faraday. El método de transferencia de energía mediante tecnología IPT fue demostrado por primera vez en 1898 por Nicola Tesla.
Como se mencionó anteriormente, esta tecnología se puede dividir en dos grupos: transferencia de energía inalámbrica de acoplamiento inductivo (IWPT) y transferencia de energía inalámbrica de resonancia acoplada magnéticamente (MCR WPT) [7,21,22,35]. En la Figura 3 se muestra un sistema típico utilizado en ambas topologías consideradas.
Figura 3. Sistema inalámbrico de transferencia de energía: IPTEn el sistema presentado en la Figura 3, del lado del transmisor, hay bloques que representan un rectificador que convierte el voltaje alterno de una fuente de energía externa, es decir, la red eléctrica, en un voltaje continuo del valor requerido, que depende de la solicitud.
En el bloque transmisor, también hay un inversor CC/CA que se utiliza para cambiar el voltaje CC a voltaje alterno, y el último elemento del sistema transmisor es una bobina.
El circuito receptor consta de una bobina receptora, un rectificador CA/CC para convertir el voltaje alterno en voltaje directo y un regulador para estabilizar el voltaje en la salida del receptor.
Dado que el valor del coeficiente de acoplamiento entre ellos disminuye con el aumento de la distancia entre el transmisor y el receptor, provoca un aumento de las caídas de voltaje debido a la inductancia de fuga y una reducción en la transferencia de energía. Para eliminar este problema, se utilizan bloques de compensación adicionales, creando un circuito resonante [40-42].
Estos bloques suelen consistir en condensadores conectados en varias configuraciones al receptor y al transmisor. Con la aplicación de una solución de este tipo, es posible obtener una reducción de la impedancia del sistema en sistemas caracterizados por una inductancia de fuga mayor que la inductancia mutua. Las topologías y propiedades de estos sistemas se describieron ampliamente en los artículos [43–46]. Transferencia de energía inalámbrica acoplada inductivamente La tecnología de transferencia de energía inalámbrica acoplada inductivamente se basa en la transmisión de energía mediante un campo magnético de bobinas transmisoras y receptoras acopladas entre sí a corta distancia entre sí. El mecanismo de transferencia de energía es idéntico al principio de funcionamiento mencionado de un transformador de aire [22,35].
El rango de frecuencia de funcionamiento de esta solución es de kilohercios y la distancia típica entre el transmisor y el receptor no supera los 40 mm. Además, esta tecnología permite la transmisión de energía de un solo vatio a kilovatios [22]. Los artículos [16,47,48] demostraron que un aumento en la distancia entre el transmisor y el receptor de 20 mm a 100 mm reduce el valor del coeficiente de acoplamiento de las bobinas de 0,6 a 0,1 y la eficiencia de transmisión de energía del 80% al alrededor del 40%. El número de vueltas, así como la forma y el tamaño de la bobina, también son importantes para el valor de este coeficiente y la eficiencia de transmisión.
Una ventaja de IWPT es el hecho de que es un método simple de transmisión de energía de alta eficiencia en comparación con otros sistemas, y tiene una baja frecuencia de operación, lo que Figura 3. Sistema inalámbrico de transferencia de energía de alta eficiencia en comparación con otros sistemas y tiene una baja frecuencia de operación, lo que garantiza la seguridad de la transmisión de energía. Por otro lado, las desventajas importantes de esta tecnología de transmisión de energía son la corta distancia de transmisión de energía, el coeficiente de acoplamiento electromagnético, el bajo valor de la inductancia mutua y el calentamiento significativo de los sistemas considerados como resultado de las pérdidas en los devanados. Además, aumentar la distancia entre las bobinas reduce la eficiencia de la transmisión de energía. Su eficiencia también se ve influenciada por la posición de las bobinas entre sí. Es importante ajustar la posición y la distancia entre el transmisor y el receptor [16]. Transferencia de energía inalámbrica por resonancia acoplada magnéticamente El principio de funcionamiento de la tecnología de transferencia de energía inalámbrica por resonancia acoplada magnéticamente, como en el caso de IWPT, también se basa en el principio de un transformador de aire, pero aquí es importante la frecuencia de resonancia a la que operan ambas bobinas. . La frecuencia de funcionamiento de esta tecnología oscila entre unos pocos kilohercios y decenas de megahercios. La energía se puede transmitir a una distancia de varios metros independientemente de las condiciones climáticas predominantes. Una ventaja significativa de esta tecnología es que no es necesario ajustar las posiciones del transmisor y del receptor entre sí. Es suficiente que el receptor esté dentro del alcance del transmisor para iniciar la transferencia de energía.
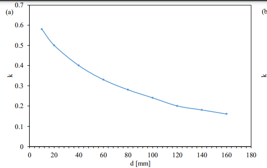
Como se presenta en [47], el cambio de posición entre las bobinas transmisoras y receptoras de los sistemas inalámbricos de transmisión de energía influye significativamente en el coeficiente de acoplamiento entre estas bobinas, lo que, a su vez, afecta significativamente la eficiencia de la transmisión de energía. La Figura 3 muestra diferentes configuraciones para la disposición del transmisor y del receptor. Los autores del artículo citado llevaron a cabo investigaciones en bobinas de sección rectangular. La ventana interior de las bobinas consideradas tiene una longitud de 498 mm, una anchura de 10,4 mm y un espesor de 20,2 mm. Cada bobina contiene 12 vueltas y la autoinductancia de una sola bobina es de 212 µH. Los resultados de las investigaciones sobre la influencia de la distancia d, el ángulo de inclinación α y la posición del receptor con respecto al transmisor en el eje x, obtenidos por los autores, sobre el valor del coeficiente de acoplamiento k, son se muestra en la Figura 4.
Figura 4. Cambio de posición: horizontal (a), vertical (b) y en el ángulo (c) de la transmisión y bobinas receptoras de sección rectangularComo puede verse (Figura 5), el valor del coeficiente de acoplamiento entre las bobinas transmisora y receptora disminuye con un aumento en la distancia cuando la distancia cambia vertical y horizontalmente. Se puede observar que un aumento de la distancia vertical de 15 mm a 160 mm provoca una reducción de casi tres veces el valor del coeficiente de acoplamiento. Además, aumentar la distancia horizontal entre las bobinas en aproximadamente 200 mm reduce el valor del coeficiente de acoplamiento en aproximadamente un 50%. El efecto más pequeño de un cambio en la posición de la bobina receptora con respecto a la bobina transmisora sobre el valor del coeficiente de acoplamiento k se observa al cambiar la inclinación de la bobina receptora. Cambiar la pendiente de la bobina receptora de 1 a 5 ◦C aumenta el factor de acoplamiento tan solo un 6%. Por otro lado, el artículo [48] presenta la influencia de la forma de las bobinas utilizadas para la transmisión de energía inalámbrica en parámetros IPT como la potencia de salida Pout, la eficiencia de la transferencia de energía η y el coeficiente de acoplamiento k. Se consideraron las formas ovalada, cuadrada y pentagonal de la bobina receptora. Los ejemplos de las bobinas del transmisor y del receptor presentados en [48] se muestran en la Figura 6. Las bobinas investigadas tienen tamaños similares, es decir, sus áreas de superficie son de aproximadamente 110 a 120 mm2 y contienen un número similar de vueltas en ambos devanados. es decir, 15 vueltas para la bobina en espiral y 14 vueltas para las bobinas con formas pentagonales y cuadradas. Los resultados obtenidos por los autores del artículo citado se presentan en la Figura 7.
De las características presentadas en la Figura 7, se puede ver que los valores de los tres parámetros considerados disminuyen con el aumento de la distancia, incluso varias veces, representando un fenómeno también mencionado en [16,47]. Además, se puede observar que los valores de estos parámetros están significativamente influenciados por la forma de la bobina. Curiosamente, el valor más bajo de eficiencia de transmisión de energía eléctrica se obtuvo para bobinas ovaladas cuando la distancia entre ellas no superaba los 30 mm, mientras que el valor más alto para este parámetro se obtuvo para bobinas de forma pentagonal. En el rango de cambios d de 10 mm a 20 mm, este valor fue incluso un 30% mayor que la eficiencia de transmisión de energía obtenida para las otras bobinas consideradas. También se puede observar que los valores más altos del coeficiente de acoplamiento se obtuvieron para bobinas de forma pentagonal en todo el rango de variaciones en la distancia entre las bobinas consideradas. El uso de bobinas pentagonales permitió aumentar el valor del coeficiente de acoplamiento entre las bobinas hasta en un 30%. Como se muestra en la literatura [49], la bondad Q de las bobinas tanto del transmisor como del receptor es un parámetro muy importante en la transferencia de energía inalámbrica mediante el fenómeno de inducción magnética. Este factor caracteriza las pérdidas de la bobina y depende principalmente del tamaño de la bobina, el grosor del cable y el material del que está hecho (alambre de cobre, aluminio, etc.). El valor predeterminado para este parámetro oscila alrededor de Q = 100. Un valor más alto para este parámetro da como resultado mejores propiedades del sistema TIP. Por otro lado, el artículo [50] investigó la influencia del factor Q en la potencia transmitida entre las bobinas transmisora y receptora y en la eficiencia de la transmisión de energía. Los resultados se muestran en la Figura 8.
Figura 8. Dependencia de la potencia transmitida entre las bobinas transmisora y receptora (a) y la eficiencia de la transmisión de energía (b) del factor de calidad de las bobinas.A partir de la dependencia de la eficiencia de la transmisión de energía (Figura 8b), se puede ver que un aumento en Q de 20 a 110 causa una reducción en la eficiencia de la transmisión de electricidad en aproximadamente un 10%. Vale la pena señalar que el sistema aplicado permitió alcanzar una eficiencia muy alta en la transmisión de electricidad, casi el 90%. El artículo [51] describe la influencia del material ferromagnético y la frecuencia del voltaje transmitido en la eficiencia de la transferencia de energía inalámbrica. En el artículo citado se analizaron cuatro núcleos ferromagnéticos hechos de materiales como ferrita, sendust, polvo de hierro y aleación de NiZn. Estos tenían diámetros externos de 36, 27, 27 y 31 mm, diámetros internos de 23, 14,35, 14,5 y 19 y espesores de 10, 12, 14,6 y 13 mm, respectivamente. Las investigaciones se llevaron a cabo en el rango de frecuencia de 10 a 140 kHz. La Figura 9 muestra la dependencia de la eficiencia de transmisión de energía de los materiales mencionados con la frecuencia [51]. Figura 9. Dependencia de la eficiencia de la transmisión de energía de las frecuencias de diversos materiales ferromagnéticos.
Como se muestra en la Figura 9, la frecuencia no influye significativamente en la eficiencia de la transmisión de energía con el uso de material de polvo de hierro. Sin embargo, el uso de este material produce un valor para el parámetro considerado hasta 10 veces menor que en el caso del material de ferrita y cuatro veces menor que en el caso del material NiZn en el rango de valores de frecuencia más altos. La mayor eficiencia se obtuvo con el uso del material de ferrita. Un aumento en la frecuencia de 10 a 140 kHz resultó en un aumento casi del doble
0 2 4 6 8 10 12 14 16 18 20 15 35 55 75 95 115 P [W] Q (a) Receptor Transmisor d = 50 mm 85 86 87 88 89 90 91 92 93 94 95 15 35 55 75 95 115 η [%] Q (b) d = 50 mm 0 5 10 15 20 25 30 35 40 45 50 10 30 50 70 90 110 130 η [%] f [ kHz ] ferrita NiZn Sendust Irondust Figura 8.
Dependencia de la potencia transmitida entre las bobinas transmisora y receptora (a) y la eficiencia de la transmisión de energía (b) del factor de calidad de las bobinas. De las dependencias presentadas en la Figura 8, se puede ver que la potencia recibida por la bobina receptora aumenta con un aumento en el factor Q. Aumentar este factor de 20 a 110 provoca un aumento de potencia de más de tres veces. A su vez,
La Figura 9 muestra la dependencia de la eficiencia de transmisión de energía de los materiales mencionados con la frecuencia [51].
Figura 9. Dependencia de la eficiencia de transmisión de energía de los materiales magnéticos frecuentes.
Un aumento en la frecuencia de 10 a 140 kHz resultó en un aumento de casi el doble en la eficiencia de la transmisión de energía cuando se utilizó el núcleo de material de ferrita para la construcción del transmisor y el receptor.
2.2.2. Transferencia de energía capacitiva
La tecnología de transferencia de energía capacitiva utiliza un acoplamiento capacitivo entre el transmisor y el receptor, que son electrodos del capacitor en forma de cubiertas metálicas (placas). El sistema transmisor se alimenta de una fuente de voltaje alterno, lo que provoca la aparición de un potencial alterno transmitido a la carga en las cubiertas del receptor. La tecnología CPT es más barata que la IPT, pero su limitación importante es la distancia muy corta requerida entre el transmisor y el receptor [36,38,52]. Además, la CPT es una tecnología menos segura, pero ocasionalmente se utiliza en aplicaciones de pequeño tamaño, como implantes médicos. Además, por su flexibilidad y pequeño tamaño, esta tecnología se utiliza en ocasiones en sistemas reconfigurables o brazos robóticos. En la Figura 10 [53-55] se muestra un sistema CPT ejemplar.
Figura 10. Transferencia de energía inalámbrica: CPTEn el sistema que se muestra en la Figura 10, se pueden distinguir los mismos bloques en los lados del transmisor y del receptor, como en el sistema que se muestra en la Figura 3. Las funciones realizadas por estos bloques son idénticas a las funciones analizadas anteriormente. Una diferencia importante entre estos dos sistemas es la salida del transmisor y la entrada del receptor, que en este caso están representadas por dos placas de un condensador plano.
3. Ventajas y desventajas de los sistemas inalámbricos de transferencia de energía
La Sección 2 presentó la clasificación de los sistemas inalámbricos de transferencia de energía y discutió sus propiedades y diferencias entre ellos, indicando sus áreas de aplicación. Esta sección presenta las ventajas y desventajas de las tecnologías discutidas anteriormente.
El Cuadro 1 presenta parámetros seleccionados de la tecnología TIP, mientras que el Cuadro 2 compara todas las tecnologías TIP.
Tabla 1. Comparación de parámetros de varias tecnologías IPT [56].
Tabla 2. Ventajas y desventajas de la tecnología TIP [29].
CTP ITP MPT LPT
Ventajas
Transferencia de alta potencia
(hasta varios kW)
Posible obtener un
mayor eficiencia (90%)
Eficaz durante mucho tiempo
distancia de transmisión de
hasta varios km
Eficaz durante mucho tiempo
distancia de transmisión de
hasta varios km
Transfiere poder
sin generar un
corrientes parásitas
Transferencia de alta potencia
(por varios kW)
Adecuado para
teléfonos móviles
Adecuado para
teléfonos móviles
Reduce costos mediante el uso
placas de metal como
transmisor
y receptor
Buen aislamiento galvánico Tiene el potencial de
transferir varios kW
Tiene el potencial de
transferir varios kW
Muy bueno para los pequeños.
aplicaciones pero puede
También se puede utilizar en grandes
aplicaciones como
vehículos eléctricos
Se puede aplicar desde
pequeño (teléfono) a
dispositivos grandes
(vehículos eléctricos)
Desventajas
Eficiencia limitada en
el rango de 70-80%
Transmisión limitada
distancia de cm a m
Baja eficiencia,
menos de 10%
Baja eficiencia,
menos de 20%
Transmisión corta
distancia (máx. 100 mm)
El remolino significativo
las pérdidas actuales limitan la
área de aplicación
Implementación compleja La línea de visión hacia
El receptor
Algunos desafíos como
resultado del conflicto
entre la transferencia
distancia, poder y
valor de capacitancia
A su vez, la Figura 11 muestra la dependencia de la eficiencia energética η de la distancia d para las tecnologías analizadas en la Sección 2 [16]
Figura 11. Eficiencia de los sistemas inalámbricos de transferencia de energía en función de la distancia entre el transmisor y el receptor.Como se mencionó anteriormente y se ilustra en la Figura 11, el valor de la eficiencia de transferencia de energía disminuye a medida que aumenta la distancia. Se puede observar que en el rango de distancias cortas esta eficiencia es la más alta (entre 68% y 95%), mejor obtenida utilizando la tecnología IWPT.
Aumentar la distancia entre el transmisor y el receptor requiere un cambio en la tecnología de transferencia de energía y da como resultado una reducción de la eficiencia energética al 45-65%.
Los valores más bajos de eficiencia de transferencia de energía se obtienen utilizando la tecnología de transferencia de energía de campo lejano, donde el valor de eficiencia está significativamente influenciado por factores adicionales, por ejemplo, las condiciones climáticas, la construcción del transmisor y el receptor, el tipo de metamateriales utilizados para construir componentes del sistema inalámbrico de transferencia de energía de larga distancia, etc. Como se puede ver en los datos resumidos en la Tabla 1, el valor más alto del coeficiente de acoplamiento se produce en la tecnología que utiliza el campo eléctrico para transmitir energía eléctrica, pero la distancia en el que es posible transmitir esta energía es el más corto. Por otro lado, la tecnología que utiliza la frecuencia de resonancia para transferir energía se caracteriza por los valores más altos de la frecuencia de operación y sin pérdidas por histéresis, pero desafortunadamente tiene un valor de eficiencia de transmisión más bajo que el IWPT.
Además, con la tecnología TAP MCR, el factor que reduce el valor de la eficiencia considerada son las importantes pérdidas que se producen debido a las corrientes parásitas que surgen. MCR WPT podría funcionar con un valor de frecuencia de señal más bajo, pero, como se presenta en el artículo [57], eso causa una disminución en la eficiencia del sistema y una disminución del factor Q. El rango de valores óptimo para la frecuencia en el que se puede obtener una alta eficiencia es de 5 a 20 MHz.
Por otro lado, de las ventajas y desventajas de utilizar diversas tecnologías de transferencia de energía, como se resume en la Tabla 2, se puede ver que la tecnología con mayor potencial es la tecnología IPT. En consecuencia, esta es la tecnología de transferencia de energía eléctrica más utilizada debido a la posibilidad de obtener la mayor eficiencia de transmisión. Aunque IPT se caracteriza por la transferencia de energía en distancias cortas, su ventaja significativa es la posibilidad de transmitir energía de hasta varios kW.
La segunda tecnología interesante que todavía se está desarrollando es la tecnología CPT. Sin embargo, actualmente se caracteriza por una eficiencia de transferencia de energía mucho menor que la IPT y una distancia más corta a la que la energía se puede transmitir de manera eficiente. Sin embargo, esta tecnología aún se está desarrollando y en la literatura hay ejemplos de CPT caracterizados por un alto valor de potencia transmitida.
Por ejemplo, el artículo [58] presentó una solución donde utilizando cuatro en lugar de dos placas del condensador y aumentando su superficie se obtuvo una potencia igual a 1,5 kW. Las otras tecnologías indicadas, pertenecientes al grupo de transferencia de energía de campo lejano, como MPT, se caracterizan por una eficiencia de transferencia de energía muy baja. Además, la construcción del transmisor y del receptor es tan costosa que actualmente no son tecnologías con potencial comercial.
4. Estándares para la transferencia de energía inalámbrica
Incluso a principios del siglo XXI, faltaban estándares de energía para dispositivos portátiles como los teléfonos móviles. Esto resultó en enchufes diferentes para cada modelo de teléfono. Para evitar tales problemas, se intentó introducir un estándar único para la alimentación inalámbrica de dispositivos electrónicos [59,60]. Sin embargo, el éxito en este ámbito se logró solo parcialmente, ya que en 2015 se habían desarrollado tres estándares para la transferencia inalámbrica de energía: - estándar QI [59]; - PMA (Alianza sobre Asuntos de Energía); - A4WP (Alianza para la Energía Inalámbrica). Sin embargo, en 2015, PMA y A4WP se fusionaron para formar una organización, el estándar AirFuel Alliance [61].
4.1. Estándar Qi
El estándar Qi (un nombre chino que significa flujo de energía vital) fue el primer estándar para la transferencia inalámbrica de energía, desarrollado por Wireless Power Consortium e introducido en el mercado en 2008 [60,62]. En 2010 estuvo disponible una versión mejorada de este estándar, y el fabricante que promovió este estándar fue Nokia [58]. Posteriormente, otras empresas se sumaron a este estándar, como Toyota, LG, Samsung, Philips, Sony, Microsoft, Apple, Huawei, etc. [22,59]. Este estándar es el estándar líder en transferencia de energía y está dedicado a dicha transferencia basada en la tecnología IPT [59,62,63]. Este estándar permite cargar dispositivos con una potencia de 5 a 15 W, por ejemplo, teléfonos inteligentes. Sin embargo, se están haciendo esfuerzos para ualización del transmisor y del receptor), y la posibilidad de cargar un solo dispositivo.
El estándar Qi distingue tres tipos de transmisores que permiten obtener el efecto de carga deseado [59]:
posicionamiento guiado, posicionamiento libre (moviendo la bobina primaria) y posicionamiento libre (la matriz de la bobina Qi).
4.1.1. Posicionamiento guiado
Este es un estándar que informa al usuario sobre la coincidencia de las posiciones del transmisor y del receptor. En caso de discrepancia, se informa al usuario cómo mover el receptor en relación con el transmisor para devolverlo a su posición correcta para una carga más eficiente [54]. La coincidencia adecuada es posible gracias al imán dentro del transmisor, que atrae al receptor que contiene el atractor magnético. Un ejemplo de este tipo de transmisor se muestra en la Figura 12. Energies 2022, 15, x FOR PEER REVIEW 13
El estándar Qi distingue tres tipos de transmisores que permiten obtener el efecto de carga deseado [59]: posicionamiento guiado, posicionamiento libre (moviendo el primcoil ) y posicionamiento libre (la matriz de bobina Qi).
Figura 12. Transmisor con posicionamiento guiado.Esta figura ilustra una configuración típica del transmisor y el receptor para transmitir energía según el estándar de posicionamiento guiado por Qi. Como se puede observar, en la parte central del transmisor, dentro de la bobina, se encuentra un imán M, que tiene la tarea de atraer el atractor contenido en el receptor dentro de la bobina. En este caso, el objetivo es colocar el atractor directamente encima del imán, lo que asegurará una perfecta coincidencia de ambas bobinas.
4.1.2. Posicionamiento libre:
movimiento de la bobina primaria En este caso, el posicionamiento del receptor para que coincida correctamente entre el transmisor y el receptor se realiza cambiando la posición de la bobina primaria para moverla hacia el receptor (Figura 13). Para ello, el transmisor está equipado con un sistema de detección y localización del receptor. Después de detectar el receptor, el transmisor mueve la bobina del lado del devanado primario hacia el receptor. La ventaja de esta solución, como en el caso del posicionamiento guiado, es el uso de una sola bobina en el transmisor. El ajuste preciso de la posición entre las bobinas requiere el uso de un mecanismo apropiado que permita cambiar la posición horizontal de la bobina en el transmisor [59]
Figura 13. Transmisor con posicionamiento libre: moviendo la bobinaComo puede verse, los ejes x e y indican la posibilidad de mover la bobina horizontalmente
y verticalmente dependiendo de la ubicación del receptor
4.1.3. Posicionamiento libre:
matriz de bobinas Este tipo de transmisor incluye una serie de bobinas distribuidas sobre toda la superficie del transmisor. En este caso, la disposición del transmisor y del receptor es más relajada. Para obtener una distribución homogénea de la fuerza magnética, las bobinas se apilan en capas, formando generalmente tres capas. El campo magnético generado por las bobinas sándwich es similar al campo magnético generado por las soluciones descritas anteriormente. Una ventaja de este tipo de transmisor es que las posiciones del transmisor y del receptor pueden ser arbitrarias, siempre que estén dentro de la fuerza magnética, lo que significa que no se requiere una alineación precisa de la posición entre el transmisor y el receptor. Sin embargo, una desventaja de esta solución es el desafío de implementar el posicionamiento en serie y en capas de las bobinas del transmisor en la PCB, manteniendo así la calidad en un nivel satisfactorio [59]. En la Figura 1 se muestra un ejemplo de la implementación de un transmisor que contiene bobinas dispuestas en capas.
Figura 14. Transmisor con posicionamiento libre: bobina de matrizEsta figura ilustra el transmisor que consta de una pluralidad de bobinas en capas repartidas por toda la superficie de su carcasa. Estas bobinas no pueden moverse hacia el receptor. En cambio, cuando el receptor se encuentra dentro del rango del campo magnético generado por alguna de las bobinas transmisoras (por ejemplo, las marcadas en amarillo), comienza la transferencia de electricidad.
4.2. Estándar AirFuel
El estándar Power Matters Alliance fue introducido por la PMA, una organización sin fines de lucro que desarrolló un proceso de transferencia de energía utilizando ambas tecnologías IPT [22]. Recientemente, como se mencionó anteriormente, en una fusión de la organización PMA con A4WP, se creó el estándar AirFuel Alliance [61]. Este estándar ha sido adoptado por empresas como Duracell, Starbucks, Flextronics, Samsung Electronics, Toshiba Corporation, etc. [61]. En la actualidad, AirFuel Standard se especializa principalmente en tecnologías AirFuel Resonant y resonancia de energía RF. La ventaja del estándar AirFuel Resonant es el hecho de que es fácil de instalar y escalar y cuesta menos en comparación con una solución de transferencia de energía inductiva. Se observó que la tecnología AirFuel Resonant se implementa en infraestructuras públicas y privadas en Asia [62]. Esta tecnología permite la transmisión de energía a largas distancias (hasta varios metros) entre el transmisor y el receptor a una frecuencia de 6,78 MHz [61].
5. Aplicaciones TIP seleccionadas
Como se mencionó anteriormente, en los últimos años ha habido un aumento significativo en el interés por la carga inalámbrica. Esta tecnología está empezando a ser ampliamente utilizada en diversas industrias, como la automotriz, la de equipos electrónicos (teléfonos, computadoras portátiles), la medicina, la militar y la espacial. El tipo de transferencia de energía utilizado está determinado por una serie de parámetros que deben adaptarse al dispositivo que requiere una fuente de alimentación inalámbrica, por ejemplo, el tamaño, la distancia entre el dispositivo que contiene el receptor y el transmisor, y la potencia nominal [64]. . Desde el punto de vista de la transferencia de energía a distancias muy largas, es adicionalmente importante diseñar un metamaterial apropiado que permita aumentar la eficiencia de esta transferencia, caracterizado por la transmitancia, permeabilidad y quiralidad adecuadas [64]. En esta subsección, a modo de ejemplo, se analiza el principio de transferencia inalámbrica de energía en la industria automotriz. Transferencia inalámbrica de energía en vehículos eléctricos Actualmente, el medio de transporte dominante son los vehículos con motor de combustión interna, que es la principal causa de contaminación ambiental [65]. Teniendo en cuenta el problema actual de disponibilidad de petróleo crudo y gas, y esforzándose por reducir el coeficiente de contaminación del aire, los coches eléctricos (EV) se están convirtiendo en una buena alternativa.
Los coches eléctricos suelen dividirse en dos categorías: vehículos eléctricos híbridos (HEV) y vehículos totalmente eléctricos (AEV). En lo que resta de esta sección, nos centraremos únicamente en los coches totalmente eléctricos. Normalmente, estos coches utilizan baterías, supercondensadores y pilas de combustible como fuentes de energía. Dependiendo del tipo de vehículo eléctrico, es posible utilizar una o más de las fuentes antes mencionadas. A su vez, dependiendo de la fuente de energía, se pueden dividir en vehículos impulsados por baterías (BEV) que requieren un sistema de carga externo, y vehículos propulsados por pilas de combustible que no requieren un sistema de carga externo. En la literatura, muchos artículos están dedicados a los vehículos eléctricos y su clasificación, configuración, estándares para la carga por cable, etc. [65-68]. Sin embargo, se presta cada vez más atención a la alimentación inalámbrica de vehículos eléctricos [64]. Este proceso utiliza con mayor frecuencia el método IPT. La Figura 15 muestra una topología típica de suministro de energía inalámbrica dedicada a vehículos eléctricos.
Figura 15. Sistema de carga inalámbrico diseñado para vehículos eléctricos.Este sistema consta de un receptor situado en el chasis de un coche eléctrico, mientras que el transmisor se sitúa bajo la superficie de la carretera, aparcamiento, etc. El transmisor incluye una fuente de energía de baja frecuencia, un convertidor con sistema de corrección del factor de potencia y un inversor de alta frecuencia, una bobina de compensación y una bobina transmisora, también llamada bobina primaria. A su vez, el circuito receptor incluye un circuito resonante que suministra energía al rectificador de alta frecuencia, al filtro y a la batería. La distancia entre el transmisor y el receptor depende del tipo de vehículo, del espesor de la superficie de la carretera y de la distancia al suelo, y normalmente no supera los 0,4 m. La frecuencia de resonancia del sistema de compensación de las bobinas transmisora y receptora determina la frecuencia de conmutación requerida de los inversores y normalmente oscila entre 20 y 100 kHz [64]. Además, como se describe en el trabajo citado, la eficiencia de la transferencia de potencia depende del diseño de las bobinas (redondo, solenoide plano, bipolar, tripolar, en zigzag) y de la topología del sistema de compensación. Esto se describió ampliamente, entre otros, en [40-42]. En el artículo [64], también se señaló que desde un punto de vista económico, la topología más adecuada del sistema de compensación para sistemas de alta potencia es la topología de SS (serie—serie) y SP (serie—paralelo). [59]. Un bloque importante en el sistema de suministro de energía inalámbrico para vehículos eléctricos es también el bloque responsable de la comunicación entre los circuitos para gestionar la demanda de energía [64]. El desarrollo de los vehículos eléctricos ha creado nuevas oportunidades en el transporte y la electricidad. Sin embargo, para que esta nueva tecnología funcione de manera uniforme en todo el mundo, es necesario estandarizar todos sus aspectos. La estandarización relacionada con la carga de vehículos eléctricos se puede dividir en tres áreas: estándares para componentes de carga de vehículos eléctricos, estándares para la integración con la red EVGI (Electric Vehicle Grid Integration) y estándares de seguridad [64,65,69]. La principal organización que estandariza los vehículos totalmente eléctricos es la Organización Internacional de Normalización (ISO), mientras que existen muchas otras organizaciones que estandarizan los componentes de los sistemas de carga de vehículos eléctricos [65]. Existen varios estándares disponibles en el mundo para la carga de la infraestructura de vehículos eléctricos. SAE e IEEE son utilizados por los fabricantes de componentes de vehículos con sede en EE. UU., mientras que IEC se utiliza ampliamente en Europa [65]. Por su parte, Japón utiliza los estándares CHAdeMO y China—Guobiao (GB/T). La información detallada sobre la estandarización antes mencionada se describe, entre otros, en los artículos [65,70,71]. Los estándares definidos como IEC/ISO [65,72] se aplican a los estándares más importantes para la transferencia inalámbrica de energía en vehículos eléctricos. Estos estándares se resumen en la Tabla 3.
Tabla 3. Estándares DAP para vehículos eléctricos [64,65].
Como puede verse en los datos presentados en la Tabla 3, existen ocho estándares para la transferencia inalámbrica de energía en vehículos eléctricos.
La primera norma es una especificación general para la TIP y cubre, entre otras cosas, la compatibilidad electromagnética, el campo electromagnético, la seguridad, las pruebas, etc.
La segunda norma es un documento que contiene recomendaciones para el diseño de dispositivos de transferencia de energía que permitan el mantenimiento de una alta calidad de energía.
El tercer estándar está dedicado a la comunicación entre el transmisor y el receptor y sistematiza los tipos de mensajes que pueden enviarse.
La cuarta norma proporciona directrices sobre cómo limitar los efectos de los campos eléctricos y magnéticos en la salud humana.
La quinta norma define el procedimiento para los trabajadores con marcapasos implantados. Esta norma propone diferentes escenarios para la realización de una evaluación de riesgos. Si un empleado tiene otros dispositivos médicos implantables activos (AIMD), estos deben evaluarse por separado. Un enfoque específico implica la determinación del riesgo de exposición a campos electromagnéticos para los trabajadores con marcapasos implantados.
La sexta norma especifica los requisitos y el funcionamiento de los equipos a bordo del vehículo, que permiten la transferencia inalámbrica de energía en un campo magnético para cargar las baterías de tracción de los vehículos eléctricos. Está destinado a su uso en turismos y vehículos comerciales ligeros. Esta norma se centra, entre otros, en la potencia transferida, la distancia entre el transmisor y el receptor (espacio libre), los requisitos de interoperabilidad entre dispositivos EV (vehículos eléctricos) de diferentes clasificaciones y sistemas relacionados fuera de los vehículos, los requisitos de rendimiento en diferentes condiciones, incluidos estos entre diferentes fabricantes y clasificaciones, requisitos de seguridad y procedimientos de prueba.
La séptima norma regula el método de intercambio de información y energía entre los coches eléctricos, el almacenamiento de energía y la red eléctrica del operador.
La octava norma se refiere a un dispositivo de suministro de energía para cargar vehículos eléctricos mediante métodos inalámbricos con tensiones nominales estandarizadas según IEC 60038 de hasta 1000 V CA y hasta 1500 V CC. Esta norma especifica, entre otras cosas, las características y condiciones de funcionamiento del dispositivo de suministro de energía, la especificación del nivel requerido de electricidad Actualmente, esta tecnología tiene desventajas que hemos querido señalar, como la dependencia de la eficiencia de la transmisión de energía eléctrica de la distancia entre el transmisor y el receptor. Se ha demostrado que un aumento de la distancia vertical entre el transmisor y el receptor da como resultado una reducción de hasta tres veces el valor del coeficiente de acoplamiento entre las bobinas. Además, un cambio en la posición horizontal del receptor con respecto al transmisor puede dar lugar a una reducción del valor del parámetro antes mencionado hasta en un 50%. También observamos cómo la forma de las bobinas tiene una influencia significativa en las propiedades de los sistemas inalámbricos de transmisión de energía eléctrica. Los resultados del análisis mostraron que las mejores propiedades y, lo más importante, el valor más alto de eficiencia de transferencia de potencia se obtuvieron cuando tanto el transmisor como el receptor tenían forma pentagonal. Además, se observó que se puede obtener un alto valor de eficiencia de transferencia de energía utilizando núcleos ferromagnéticos hechos de materiales de ferrita. El uso de los núcleos antes mencionados también permite reducir las pérdidas relacionadas con la aparición de corrientes parásitas o perturbaciones EMI. Sin embargo, la eficiencia potencial todavía depende del tamaño de las bobinas transmisora y receptora, y en los sistemas de alta potencia su valor está significativamente influenciado por los parámetros del sistema de compensación. La literatura también suele referirse a un factor que limita las propiedades de la TIP como las pérdidas de energía resultantes del calentamiento de los componentes de este sistema, pero todavía no se ha dedicado mucho trabajo a esta cuestión. En general, las cuestiones relacionadas con la transferencia de energía inalámbrica son de actualidad y determinan nuevas áreas de investigación destinadas a aumentar la eficiencia de la transferencia de energía de una manera segura, de bajo costo y posiblemente menos complicada.
De cara al futuro, se espera que los sistemas TIP sigan evolucionando y encuentren aplicaciones más amplias. También se espera que la eficiencia de la transferencia de energía aumente en los próximos años. Contribuciones del autor: Conceptualización, K.D. y KG; recursos, KD; redacción: preparación del borrador original, K.G. y KD; redacción: revisión y edición, K.G. y KD; visualización, KD; supervisión, K.G. Todos los autores han leído y aceptado la versión publicada del manuscrito. Financiamiento: El proyecto fue financiado en el marco del programa del Ministerio de Ciencia y Educación Superior denominado “Regionalna Inicjatywa Doskonało´sci” en los años 2019-2022, número de proyecto 006/RID/2018/19 (suma de financiación: 11.870.000 PLN). Declaración de disponibilidad de datos: No aplicable. Conflictos de intereses: Los autores declaran no tener ningún conflicto de intereses.
References
1. Shan, D.; Wang, H.; Cao, K.; Zhang, J. Wireless power transfer system with enhanced efficiency by using frequency reconfigurable
metamaterial. Sci. Rep. 2022, 12, 331. [CrossRef]
2. Gore, V.B.; Gawali, D.H. Wireless power transfer technology for medical applications. In Proceedings of the Conference on
Advances in Signal Processing (CASP), Pune, India, 9–11 June 2016; pp. 455–460. [CrossRef]
3. Filipiak, M.; Głuchy, D. Analiza Wybranych Układów w Technice Bezprzewodowego Przesyłu Energii Elektrycznej. Pozn. Univ.
Technol. Acad. J. 2013, 74, 227–235.
4. Barsukov, Y.; Qian, J. Battery Power Management for Portable Devices, Artech House Power Engineering; Artech House: London,
UK, 2013.
5. Abdul-jabbar, T.A.; Obed, A.A.; Abid, A.J. Design of an Uninterrupted Power Supply with Li-Ion Battery Pack: A Proposal for a
Cost-Efficient Design with High Protection Features. J. Technol. 2021, 3, 1–10. [CrossRef]
6. Alam, B.; Islam, N.; Subhan ISarfraz, M. Analysis and Modelling of Basic Wireless Power Transfer Compensation Topology: A
Review. In Intelligent Data Analytics for Power and Energy Systems; Lecture Notes in Electrical Engineering; Springer: Singapore,
2022; Volume 802. [CrossRef]
7. Okoyeigbo, O.; Olajube, A.; Shobayo, O.; Aligbe, A.; Ibhaze, A.E. Wireless power transfer: A review. In IOP Conference Series:
Earth and Environmental Science; IOP Publishing: Bristol, UK, 2021; Volume 012032, pp. 1–9. [CrossRef]
8. Valone, T.F. Geoengineering Tesla’s Wireless Power Transmission, Extra Ordinary Science and Technology. 2017, pp. 31–42. Available online: https://www.researchgate.net/publication/320335847_Geoengineering_Tesla%27s_Wireless_Power_Transmission
(accessed on 26 September 2022).
9. Schuder, J.C.; Stephenson, H.E.; Townsend, J.F. High level electromagnetic energy transfer through a closed chestwall. IRE Int.
Conv. Rec. 1961, 9, 119–126.
10. Brown, W.C. The history of wireless power transmission. Solar Energy 1996, 56, 3–21. [CrossRef]
11. Ongaro, F.; Summerer, L. Peter Glaser lecture: Space and a sustainable 21st century energy system. In Proceedings of the 57th
International Astronautical Congress, Valencia, Spain, 3 October 2006. Paper IAC-06-C3.1.01.
12. Kurs, A.; Karalis, A.; Moffatt, R.; Joannopoulos, J.D.; Fisher, P.; Soljacic, M. Wireless power transfer via strongly coupled magnetic
resonances. Science 2007, 6, 86. [CrossRef]
13. Rim, C.T.; Mi, C. Wireless Power Transfer for Electric Vehicles and Mobile Devices; John Wiley and Sons: West Sussex, UK, 2017.
14. Qiu, C.; Chau, K.T.; Liu, C.; Chan, C.C. Overview of wireless power transfer for electric vehicle charging. In Proceedings of the
2013 World Electric Vehicle Symposium and Exhibition (EVS27), Barcelona, Spain, 17–20 November 2013; pp. 1–9. [CrossRef]
15. Li, S.; Mi, C.C. Wireless Power Transfer for Electric Vehicle Applications. IEEE J. Emerg. Sel. Top. Power Electron. 2015, 3, 4–17.
[CrossRef]
16. Mohsan, S.A.H.; Khan, M.A.; Rokia LS, R.; Islam, A.; Mahmood, A.; Mazinani, A.; Amjad, H. A review on Research Challenges,
Limitation and Practical Solution for Underwater Wireless Power Transfer. Int. J. Adv. Comput. Sci. Appl. 2020, 11, 554–562.
[CrossRef]
17. Coca, E. Wireless Power Transfer Fundamentals and Technologies; InTechOpen: London, UK, 2016.
18. Moore, J.; Castellanos, S.; Xu, S.; Wood, B.; Ren, H.; Tse, Z.T.H. Applications of Wireless Power Transfer in Medicine: State-of-theArt Reviews. Ann. Biomed. Eng. 2018, 47, 22–38. [CrossRef] [PubMed]
19. Barbruni, G.L.; Ros, P.M.; Demarchi, D.; Carrara, S.; Ghezzi, D. Miniaturised Wireless Power Transfer Systems for Neurostimulation: A Review. IEEE Trans. Biomed. Circuits Syst. 2020, 14, 1160–1178. [CrossRef]
20. Kim, J.D.; Sun, C.; Suh, I.S. A proposal on wireless power transfer for medical implantable applications based on reviews. In
Proceedings of the 2014 IEEE Wireless Power Transfer Conference, Jeju, Korea, 19 June 2014; pp. 166–169. [CrossRef]
21. Kuka, S.; Ni, K.; Alkahtani, M. A review of method and challenges for Improvement in Efficiency and Distance for Wireless
Power Transfer. Power Electron. Driv. 2020, 5, 1–25. [CrossRef]
22. Sidiku, M.B.; Eronu, E.M.; Ashigwuike, E.C. Review On Wireless Power Transfer: Concepts, Implementations, Challenges, and
Mitigation. Niger. J. Technol. 2020, 39, 1206–1215. [CrossRef]
23. Zhang, Z.; Pang, H.; Georgiadis, A.; Cecati, C. Wireless Power Transfer—An Overview. IEEE Trans. Ind. Electron. 2019, 66,
1044–1058. [CrossRef]
24. Foote, A.; Onar, O.C. A review of high-power wireless power transfer. In Proceedings of the 2017 IEEE Transportation Electrification Conference and Expo (ITEC), Chicago, IL, USA, 22 June 2017; pp. 234–240. [CrossRef]
25. Popovic, Z. Near- and Far-Field Wireless Power Transfer. In Proceedings of the 2017 13th International Conference on Advanced
Technologies, Systems and Services in Telecommunications (TELSIKS), Nis, Serbia, 18–20 October 2017.
26. Lin, W.; Ziolkowski, R.W. Far field wireless power transfer for IoT applications enabled by an ultra-compact and highly-efficient
Huygens rectenna. In Proceedings of the 2020 IEEE Wireless Power Transfer Conference (WPTC), Seoul, Korea, 24 December
2020; pp. 69–71. [CrossRef]
27. Zhang, H.; Shlezinger, N.; Guidi, F.; Dardari, D.; Imani, M.F.; Eldar, Y.C. Near-Field Wireless Power Transfer for 6G Internet of
Everything Mobile Networks: Opportunities and Challenges. IEEE Commun. Mag. 2022, 60, 12–18. [CrossRef]
28. Wang, C.; Xu, W.; Zhang, C.; Wang, M.; Wang, X. Microwave wireless power transmission technology index system and test
evaluation methods. EURASIP J. Adv. Signal Process. 2022, 16, 2478. [CrossRef]
29. Jin, K.; Zhou, W. Wireless Laser Power Transmission: A Review of Recent Progress. IEEE Trans. Power Electron. 2018, 34, 3842–3859.
[CrossRef]
30. Zhang, Q.; Fang, W.; Liu, Q.; Wu, J.; Xia, P.; Yang, L. Distributed Laser Charging: A Wireless Power Transfer Approach. IEEE
Internet Things J. 2018, 5, 3853–3864. [CrossRef]
31. Wang, X.; Lu, C.; Wang, C.; Liu, P.; Xu, W.; Zhou, Y.; Wang, F. Methods for testing the performance of long-distance wireless
power transmission systems. EURASIP J. Wirel. Commun. Netw. 2020, 2020, 2536. [CrossRef]
32. Dang, K.; Zhang, J.; Zhou, H.; Huang, S.; Zhang, T.; Bian, Z.; Zhang, Y.; Wang, X.; Zhao, S.; Wei, K.; et al. A 5.8-GHz High-Power
and High-Efficiency Rectifier Circuit with Lateral GaN Schottky Diode for Wireless Power Transfer. IEEE Trans. Power Electron.
2020, 35, 2247–2252. [CrossRef]
33. Zheng, S.; Liu, W.; Pan, Y. Design of an Ultra-Wideband High-Efficiency Rectifier for Wireless Power Transmission and Harvesting
Applications. IEEE Trans. Ind. Inform. 2019, 15, 3334–3342. [CrossRef]
34. Liu, H.; Zhang, Y.; Hu, Y.; Tse, Z.; Wu, J. Laser Power Transmission and Its Application in Laser-Powered Electrical Motor Drive:
A Review. Power Electron. Drives 2021, 6, 167–184. [CrossRef]
35. Kim, D.; Abu-Siada, A.; Sutinjo, A. State of the art literature review of WPT: Current limitations and solutions on ITP. Electr. Power
Syst. Res. 2018, 154, 493–502. [CrossRef]
36. Mohammed, S.S.; Ramasamy, K.; Shanmuganantham, T. Wireless Power Transmision—A next generation power transmission
system. Int. J. Comput. Appl. 2010, 1, 102–105. [CrossRef]
37. Theodoridis, M. Effective Capacitive Power Transfer. IEEE Trans. Power Electron. 2012, 27, 4906–4913. [CrossRef]
38. Covic, G.A.; Boys, J.T. Inductive Power Transfer. Proc. IEEE 2013, 101, 1276–1289. [CrossRef]
39. Van den Bossche, A.; Valchev, V. Inductor and Transformers for Power Electronic; CRC Press: Boca Raton, FL, USA, 2005.
40. Wen, F.; Chu, X.; Li, Q.; Gu, W. Compensation Parameters Optimization of Wireless Power Transfer for Electric Vehicles. Electronics
2020, 9, 789. [CrossRef]
41. Badwey, M.A.; Abbasy, N.H.; Eldallal, G.M. An efficient design of LC-compensated hybrid wireless power transfer system for
electric vehicle charging applications. Alex. Eng. J. 2022, 61, 6565–6580. [CrossRef]
42. Song, S.; Zhang, W.; Jin, Z.; Geng, Q. Analysis of S-S Resonance Compensation Circuit of Electric Vehicle Wireless Power Transfer
System. In Proceedings of the IEEE 4th Conference on Energy Internet and Energy System Integration (EI2), Wuhan, China, 15
February 2020; pp. 619–622. [CrossRef]
43. Rakhymbay, A.; Bagheri, M.; Lu, M. A simulation study on four different compensation topologies in EV wireless charging. In
Proceedings of the International Conference on Sustainable Energy Engineering and Application (ICSEEA), Jakarata, Indonesia,
23–24 October 2017; pp. 66–73. [CrossRef]
44. Wang, H.S.; Cheng, K.W.E.; Hu, J.F. An Investigation of Compensation Networks for Three-coil Wireless Power Transfer. In
Proceedings of the 8th International Conference on Power Electronics Systems and Applications (PESA), Hong Kong, China, 7–10
December 2020; pp. 1–6.
45. Geng, Y.; Sun, H.; Yang, Z.; Li, B.; Lin, F. A High Efficiency Charging Strategy for a Supercapacitor Using a Wireless Powe
No hay comentarios.:
Publicar un comentario