¿cuanta gente a visto el blog?

Transferencia de energía inalámbrica basada en telaraña: bobina para implantes biomédicos

 AMAL IBRAHIM MAHMOOD 1,2, SADIK KAMEL GHARGHAN 2, (Miembro, IEEE), MOHAMED A. A. ELDOSOKY1, MUSTAFA FALAH MAHMOOD2, AND AHMED M. SOLIMAN 1 1Departamento de Ingeniería Biomédica, Facultad de Ingeniería, Universidad de Helwan, Helwan, El Cairo 11792, Egipto 2Medio Universidad Técnica, Facultad de Ingeniería Eléctrica de Bagdad, Irak Autor correspondiente: Sadik Kamel Gharghan (sadik.gharghan@mtu.edu.iq) Este trabajo fue financiado en parte por el Departamento de Ingeniería Biomédica, Facultad de Ingeniería, Universidad de Helwan, El Cairo, Egipto ; y en parte por el Departamento de Técnicas de Ingeniería de Instrumentación Médica, Facultad de Ingeniería Eléctrica, Universidad Técnica Media. 

RESUMEN 

Un implante biomédico (IMC) es un dispositivo que permite a los pacientes monitorear su estado de salud en cualquier momento y obtener atención desde cualquier lugar. Sin embargo, la funcionalidad de estos dispositivos está limitada debido a la capacidad restringida de su batería, de modo que es posible que un BMI no alcance su máximo potencial. El acoplamiento por resonancia magnética basado en la tecnología de transferencia de energía inalámbrica (WPT-MRC) se considera una solución prometedora al problema de la capacidad restringida de las baterías en los BMI. En este artículo, la bobina de telaraña – MRC (SWC-MRC) se diseñó e implementó de manera práctica para superar la duración restringida de la batería en IMC de bajo consumo. En el diseño del SWC-MRC se propuso una topología serie/paralelo (S/P) para alimentar el BMI. Se realizaron varios experimentos en el laboratorio para investigar el rendimiento del sistema SWC-MRC en términos de voltaje de salida de CC, transferencia de energía y eficiencia de transferencia a diferentes cargas resistivas y distancias. Los resultados experimentales de la prueba SWC-MRC revelaron que cuando la Vsource es de 30 V, se puede obtener un voltaje de salida de CC de 5 V a 1 cm. A esa distancia (es decir, 1 cm), la eficiencia de transferencia de SWC-MRC es 91,86% y 97,91%, y la transferencia de potencia es 13,26 W y 23,5 W cuando se adoptaron cargas resistivas de 50 y 100, respectivamente. Se logró una transferencia de potencia de 12,42 W y una eficiencia de transferencia del 93,38 % a 2 cm cuando se consideró una carga resistiva de 150 y una fuente V de 35 V. El rendimiento alcanzado fue adecuado para cargar algunos IMC, como un marcapasos. Í

INDICE TÉRMINOS

 Implante biomédico, MRC, transferencia de potencia, eficiencia de transferencia, voltaje, WPT.

 I. INTRODUCCIÓN

 Los sistemas de implantes biomédicos (IMC) dependen del tipo de dispositivo electrónico implantado para mejorar la calidad de vida, así como para observar, diagnosticar y sustituir la función de un órgano o función corporal sin restringir el movimiento del paciente [1]. [2]. Generalmente, un BMI es biodegradable o funciona con baterías internas de almacenamiento limitado o supercondensadores. Por lo tanto, el paciente debe reemplazar la batería del implante antes de que se agote [3], [4]. La necesidad de reemplazos repetidos no es práctica y requiere un alto costo para los pacientes debido a la intervención quirúrgica [5].

La transferencia de energía inalámbrica (WPT) implica transferir energía eléctrica desde el transmisor hasta los extremos del receptor sin utilizar cables. Estos WPT se pueden dividir en dos categorías según El editor asociado que coordinó la revisión de este manuscrito y aprobó su publicación fue Tariq Masood. la región de acoplamiento entre el transmisor y el receptor: (i) región no radiativa o de campo cercano y (ii) región radiativa o de campo lejano [6], [7]. 

La TIP de campo cercano se puede clasificar en cuatro categorías según la técnica de acoplamiento empleada: (i) acoplamiento inductivo (IC), (ii) acoplamiento magnético-resonante (MRC), (iii) acoplamiento magnetodinámico (MDC) y ( iv) acoplamiento capacitivo (CC). El uso de TIP juega un papel fundamental por su seguridad, comodidad y flexibilidad para los pacientes. Debido a los avances tecnológicos, la TIP se puede utilizar en varias aplicaciones, incluidos vehículos eléctricos, teléfonos móviles, dispositivos electrónicos portátiles y sistemas BMI [8]-[10]. La transferencia de energía inalámbrica juega un papel importante en los sistemas BMI, ya que está libre de cables y elimina la necesidad de cirugía cuando la batería está agotada. 

Para mejorar la eficiencia de transferencia de energía resultante y el acoplamiento entre las bobinas transmisoras y receptoras de TIP para dispositivos BMI, los investigadores propusieron varias técnicas y métodos: geometría de la bobina [11]–[13] diferentes controles de potencia en circuito cerrado y abierto [14], amplificación [15], [16] una red de adaptación de impedancia [17], [18] condiciones de desalineación [19] y configuración de acoplamiento [20], [21]. 

En el campo biomédico, la WPT es esencial como fuente de energía para dispositivos de biodetección e IMC [22], como la monitorización de signos vitales humanos [23], sensores de frecuencia cardíaca [24], cápsulas endoscópicas [25] y dispositivos de asistencia ventricular izquierda ( LVAD) [26], microimplantes profundos [27] y aplicaciones de optogenética [28]. 

En aplicaciones TIP, la mayor parte de la investigación, ya sea in vivo o in vitro, aplicó los sistemas para diferentes distancias de transferencia, cargas, topología de acoplamiento y técnicas adoptadas. En cada condición, la potencia entregada y la eficiencia de transferencia son diferentes. La distancia entre las bobinas se ve afectada por la inductancia mutua [20]. tEntonces, el cambio en la inductancia mutua afectó la capacidad de transferencia de energía y la eficiencia de transferencia de energía [30]. Por lo tanto, el circuito transmisor y receptor se puede sintonizar a la frecuencia angular de resonancia (ω ◦) para optimizar la eficiencia de transferencia de potencia [31]. Sin embargo, el MRC es una técnica apropiada para distancias medias, y su transferencia de potencia y eficiencia dependen del tamaño y la forma de las bobinas del receptor y del transmisor [5]. Por tanto, el MRC es adecuado para los sistemas BMI. La eficiencia de transferencia y la potencia de la técnica MRC se pueden mejorar adoptando el tipo y tamaño adecuados de bobinas transmisoras y receptoras, así como el método de conexión de los condensadores de resonancia con las bobinas. Sin embargo, el valor de estos condensadores determina la frecuencia de resonancia (ω◦).

La configuración del capacitor involucra muchas topologías de capacitor de acoplamiento, como serie/serie (S/S), serie/paralelo (S/P), paralelo/paralelo (P/P) y paralelo/serie (P/S) [32]. , [33]. Dependiendo de la función del sistema TIP, se pueden determinar la frecuencia de resonancia, la distancia de transferencia, el tamaño de la bobina, la carga de resistencia, el voltaje y la topología de compensación para lograr una eficiencia de transferencia óptima. En el lado primario del sistema, se debe investigar la topología en serie para lograr la transmisión a distancia. Para corrientes altas, se debe considerar la configuración en paralelo. Además, si el requisito de demanda tiene criterios de fuente de tensión, el lado secundario se puede diseñar con compensación en serie. De lo contrario, se elige una compensación paralela para alcanzar los criterios de fuente actuales [9], [32]. 

En el estudio propuesto, se adopta la topología S/P para lograr una buena distancia de transferencia y características de fuente de corriente adecuadas para la carga de baterías BMI. Este estudio se diferencia de otros estudios en el diseño de una bobina de tela de araña: MRC (SWC-MRC), que puede considerarse un método poco común en el diseño de IMC. Además, el uso de la topología S/P en SWC-MRC mejora la potencia entregada para unos pocos centímetros de entrehierro. 

Las contribuciones del presente estudio se pueden resumir de la siguiente manera: 

1) El uso de SWC-MRC implica una configuración S/P y fue diseñado e implementado prácticamente para dispositivos de implantes médicos.

 2) Se analizaron varias métricas de rendimiento del SWC-MRC propuesto, como el voltaje de salida de CC, la transferencia de energía y la eficiencia, en relación con el voltaje de la fuente y las distancias en diferentes cargas resistivas para producir el mejor valor del voltaje de salida de CC. 

3) El SWC-MRC logró lograr un voltaje de salida de CC suficiente que se puede usar para cargar la batería de dispositivos BMI alimentados por 5 V. 

4) Las métricas de rendimiento del SWC-MRC han superado la literatura relevante en términos de transferencia de energía. , eficiencia y espacio de aire entre las bobinas del sistema. 

II. TRABAJOS RELACIONADOS 

Existe mucha investigación que aborda el uso de MRC-WPT en muchos campos de la electrónica, incluidos los dispositivos BMI. Kim y cols. [34] diseñaron un sistema WPT para dispositivos de IMC de monitorización cardíaca que tiene baja radiación térmica. El sistema propuesto involucra muchos giros configurados en una topología S/P. Los investigadores descubrieron que se puede lograr una eficiencia de transferencia del 24% con solo un espacio de aire de 10 mm. Sus resultados mostraron que la temperatura del sistema TIP aumentó sólo 2◦C durante una carga de 70 minutos, lo que lo convierte en un sistema seguro. Peng et al. [35] introdujeron un método de diseño óptimo para BMI utilizando una red capacitiva de coincidencia L, lo que indica una eficiencia de transferencia del 36,43% en un espacio de aire de 15 mm cuando se adopta una frecuencia oscilante de 6,78 MHz. El acoplamiento entre las dos bobinas estaba flojo y el factor de acoplamiento k era 0,035. Kim y cols. [36] utilizaron una configuración S/P para lograr un diseño eficiente utilizado para la monitorización del electrocardiógrafo implantable (ECG) con un voltaje de carga de 4,2 V y una eficiencia de transferencia del 10%. Este diseño puede registrar y transmitir datos de ECG durante 23 horas sin recargar la batería. La limitación del diseño es su sensibilidad al ruido de 60 Hz de la línea de alimentación de CA. Heo et al. [37] desarrollaron un sensor inalámbrico aplicado como sensor de ECG utilizando el método WPT de tipo inducción magnética.

 Se consideró la posición de alineación entre las bobinas del receptor y del transmisor y la eficiencia de transmisión de energía. El sistema experimental real implicaba una bobina transmisora circular con un diámetro de 5 cm y una bobina receptora elíptica con un eje longitudinal. El sistema se comparó con el sistema simulador de estructuras de alta frecuencia (HFSS). El resultado muestra que la entrega de voltaje por la bobina del receptor es de 4,8 V. La eficiencia de transmisión es del 1,5% cuando la distancia entre el transmisor y el receptor es inferior a 2 cm. El resultado de la simulación muestra que la eficiencia de transmisión permanece estable incluso si cambia la alineación entre el transmisor y el receptor. Además, Yazdi et al. [38] introdujeron un sistema WPT inductivo con tres diseños elípticos, circulares y cuadrados para mejorar la eficiencia de transferencia en sensores de ECG implantables. Se sugieren seis configuraciones de bobina diferentes: circularcircular, elíptica-elíptica, elíptica-cuadrada bobina espiral, una espiral circular-cuadrada, una circular-elíptica y una cuadrada espiral espiral-cuadrada. Los resultados indican que la máxima eficiencia de transferencia se logra cuando la distancia de transferencia es de 0 mm y el diseño es una espiral cuadrada-espiral cuadrada. La frecuencia de oscilación adoptada es de 13,56 MHz.

La ventaja de este trabajo se compara con muchos tipos de diseños de bobinas, pero la distancia de transferencia obtenida es pequeña. Dubey et al. [39] sugirieron que un simulador gástrico resonante inalámbrico de 1,3 MHz proporcionaba un pulso eléctrico con la potencia adecuada e indicaron que la eficiencia de dicho sistema era del 14% cuando la distancia de transferencia era de 4 cm con una carga resistiva de 500. Se investigó el efecto de desalineación del sistema. La limitación del trabajo es que no está validado experimentalmente.

 Para mejorar la eficiencia y estabilidad de la cápsula endoscopio, Cui et al. [40] introdujo un nuevo sistema con seis bobinas de Helmholtz como transmisores. Los investigadores estudiaron el efecto de la posición del receptor sobre el factor de acoplamiento. La complejidad de la instalación limitó la configuración del diseño, pero el sistema puede generar un campo magnético de alta intensidad que mejora la eficiencia de transferencia del sistema incluso cuando las bobinas están desalineadas. Fadhel et al. [41] diseñó un sistema TIP modificado. El diseño comprendía un componente semiconductor complementario de óxido de metal de alta eficiencia y una bobina de circuito impreso optimizada. El sistema involucra un transmisor diseñado con un oscilador, un controlador y un amplificador de potencia clase E; el receptor contiene una bobina espiral circular. Cuando el medio transmisor es aire a distancias de transferencia de 0,5 cm y 5 cm, los resultados experimentales mostraron que la eficiencia de transferencia de potencia es del 75,1% y 10,67%, respectivamente. La bobina del receptor recibió energía para 0,5 cm y 5 cm a 157,7 mW y 22,4 mW, respectivamente. Los resultados indican que el sistema se aplica a aplicaciones transcutáneas que necesitan un rango de transferencia corto. Por lo tanto, el sistema propuesto tiene una pequeña potencia entregada para un espacio de aire de unos pocos centímetros. Xu et al. [42] implementaron un sistema WPT de resonancia magnética novedoso, eficiente y miniaturizado para dispositivos BMI implantables basado en una bobina dual tridimensional flexible. Luego, los autores analizaron los factores que afectan la eficiencia de la transmisión. El sistema se compone de una fuente de señal, un módulo de adaptación de impedancia, un módulo resonante de doble bobina acoplada, un circuito receptor y una carga. El software de simulación utilizado es HFSSSe analizó el efecto del parámetro estructural de la bobina y se obtuvo la estructura de optimización de la bobina. El análisis resultante muestra que maximizar la inductancia de la bobina resultó en una mayor eficiencia de transferencia. La potencia de salida de entrega lograda es de 70 mW cuando la distancia de transferencia es de 6 mm, la potencia de entrada es de 200 mW y la eficiencia de transferencia máxima es del 35 %. Por lo tanto, el sistema tiene una pequeña potencia transferida en una distancia de transferencia baja. Como la dimensión de la bobina receptora tiene un papel importante en el diseño, Ibrahim et al. [43] sugirieron un enlace de transmisión de energía inalámbrica que incluye una bobina en espiral impresa para alimentar un IMC de tamaño milimétrico. La frecuencia de oscilación de la configuración se determinó en 50 MHz y 100 MHz. El diseño optimizado tuvo una eficiencia de transferencia del 0,13% y 3,3%, respectivamente. La potencia entregada fue de 65,7 µW y 720 µW a 10 mm, respectivamente. Los resultados indican que el sistema tiene baja potencia y una pequeña distancia de transferencia, pero el diseño es útil para BMI de tamaño milimétrico.

 Knecht et al. [44] diseñaron un sistema TIP de alta eficiencia que utiliza tecnología de semiconductores de nitruro de galio (GaN) para limitar la pérdida de energía en dispositivos mecánicos del sistema de soporte circulatorio, como un DAVI. Descubrieron que la potencia de transmisión optimizada es de 30 W y la eficiencia de transferencia es del 95 % a una distancia de transferencia de 20 mm. Shadid et al. [45] introdujeron un sistema híbrido inalámbrico de transferencia de datos y energía para implantes médicos que constaba de una antena y una bobina. La antena se caracteriza por funcionar con tres frecuencias diferentes: 415 MHz, 905 MHz o 1.300 MHz. La bobina está diseñada para transferir energía a una frecuencia de resonancia de 13,56 MHz. Los autores también estudiaron la TIP utilizando una antena portátil. El sistema logró una alta eficiencia de transferencia del 72,26% a una pequeña distancia de transferencia de 15 mm.

 Haerinia et al. [46] presentaron un sistema de campo lejano para trabajar en bandas de 2,5 GHz y 4,5 GHz que implica una antena plana impresa de doble banda. Examinaron el valor de la tasa de absorción específica. Sallan et al. [47] utilizaron la ecuación de Neumann para introducir un modelo matemático para calcular bobinas acopladas inductivamente de LTx, LRx y M. Abou Houran et al. [48] revisaron el desarrollo principal del sistema MRC-WPT analizando muchos parámetros, como topologías de compensación, desalineación y estructura de los resonadores. De los artículos antes mencionados, deducimos que la entrega de potencia, la eficiencia de transferencia, la distancia de transferencia y el tamaño de la bobina de WPT en los sistemas BMI enfrentan desafíos y limitaciones. Por lo tanto, en este estudio intentamos resolver estos problemas adoptando un nuevo diseño de SWC-MRC. De este modo, la potencia de salida entregada La eficiencia y la eficiencia dentro de una distancia específica se pueden mejorar y suministrar a algunos dispositivos BMI suficiente voltaje. 

III. METODOLOGÍA DE INVESTIGACIÓN 

Para superar la limitación de la capacidad de la batería en BMI, los materiales y métodos introducidos en este trabajo implican el diseño e implementación del sistema SWC-MRC para resolver el problema de cargar baterías BMI de forma inalámbrica. El diseño SWC-MRC propuesto implica el uso de una topología de bobina S/P basada en bobinas de tela de araña para analizar diferentes métricas de rendimiento, incluido el voltaje de salida de CC, la potencia transferida y la eficiencia de transferencia. El diseño SWC-MRC adoptado se puede implementar y probar experimentalmente con diferentes cargas resistivas. La distancia de transferencia entre la bobina del transmisor y del receptor es de 1 a 10 cm en cada paso de 1 cm. La bobina del transmisor se fijó durante la medición, mientras que se varió la ubicación del receptor. En el experimento se adoptaron diferentes valores de fuente de alimentación, oscilando entre 5 y 60 V en un paso de 5 V para cada caso, para explorar qué voltaje proporciona el mejor rendimiento. Se realizó una comparación entre cada oferta y en cada distancia.

 Los materiales y métodos mencionados anteriormente se pueden utilizar suponiendo lo siguiente: 

La forma de telaraña-espiral se diseñó con un diámetro interior de 10,5 cm y un diámetro exterior de 24 cm. El formulario se fabrica sobre láminas transparentes de cloruro de polivinilo como se muestra en la Fig. 1a. 2) Una bobina de cobre con una dimensión de calibre de alambre americano (AWG) de 20 de diámetro se envolvió manualmente sobre la forma de la bobina de araña. Se envolvieron cuatro vueltas en la forma de telaraña del transmisor. El receptor se envolvió en tres vueltas, como se aclara en la sección 4 (Fig. 1b y 1c, respectivamente). 

3) Se prepararon todos los dispositivos y herramientas necesarios tanto para el transmisor como para el receptor como se describe en la sección 4.

 4) Se utilizaron modelos matemáticos simples para calcular la potencia entregada medida en vatios (W), y se introdujo un porcentaje de eficiencia transferida para analizar las métricas de rendimiento del SWC-MRC como se aclara en la sección 5. 

5) El diseño del SWC-MRC se presentó para proporcionar el voltaje adecuado para cargar un BMI.

 El SWC-MRC contiene las partes del transmisor y del receptor. Cada parte implica un dispositivo y herramientas específicos para cumplir con los objetivos requeridos del trabajo.

6) Mientras se preparaba el componente de diseño general, se configuraron y realizaron tres experimentos para evaluar el rendimiento de SWC-MRC según la carga. El diseño y los parámetros del sistema se explicaron en detalle. 

7) Se presentó un análisis de cada experimento y se describieron los resultados. 

IV. DISEÑO DEL SISTEMA 

El sistema SWC-MRC propuesto consta de un transmisor y un receptor.

 El transmisor contiene dos fuentes de alimentación: un amplificador de potencia clase D de modo diferencial de conmutación de voltaje cero (ZVS) de alta eficiencia basado en la placa de desarrollo EPC9065 y una bobina transmisora de tela de araña para convertir un campo eléctrico en un campo magnético con una condensador compensado (CTx). 

La parte receptora incluye una bobina receptora de tela de araña para convertir el campo magnético en una señal eléctrica, CRx, un puente rectificador (basado en diodos Schottky) caracterizado por su pequeño tamaño y bajo costo, filtro capacitancia (C) y carga resistiva. (RL).

La clave para el diseño del sistema son las bobinas de telaraña del transmisor y el receptor, como se muestra en la Fig. 1. 

La corriente continua (CC) generada por la fuente de alimentación se convierte en una onda de corriente alterna (CA) sinusoidal. con una frecuencia de oscilador de 6,78 MHz utilizando ZVS [49] de tecnología de administración de energía basada en GaN, como se muestra en las figuras 2a y 2b. Se seleccionó esta frecuencia porque a alta frecuencia, especialmente en la banda industrial, científica y médica (ISM) (2,2 y 6,78 MHz), la potencia de salida podría ser pequeña y el BMI no requiere un circuito electrónico adicional [7]. Además, esta frecuencia (es decir, 6,78 MHz) reduce el efecto de las corrientes parásitas en el circuito receptor, por lo que se puede mejorar la eficiencia de la TIP. Además, la disminución de las corrientes parásitas reducirá la temperatura del circuito receptor implantado en el cuerpo humano, lo que evitará efectos secundarios en los tejidos y células del cuerpo. 

El ZVS está conectado directamente al circuito del transmisor. La corriente fluye a través de la bobina del transmisor (Tx), lo que genera un campo electromagnético que pasa a través de la bobina del receptor (Rx). Por lo tanto, la bobina Rx produce una corriente inducida para realizar la transmisión inalámbrica de energía desde la bobina Tx a la Rx. La energía transferida desde las bobinas Tx a las bobinas Rx sufre alguna pérdida. Por lo tanto, la corriente en la bobina Rx es menor que la de la bobina Tx. 

El lado Tx implica un puente rectificador para convertir CA en CC, que es energía utilizable. Las bobinas Tx y Rx deben resonar a la misma frecuencia para obtener una transferencia de potencia eficiente. La Fig. 3 muestra el circuito del sistema propuesto. Esta técnica se caracteriza por su alta eficiencia de transferencia que no se ve afectada por el medio ambiente [23]. Los principales parámetros del diseño SWC-MRC se incluyen en la Tabla 1. 

V. MODELO MATEMÁTICO PARA LA TOPOLOGÍA 

El trabajo propuesto involucra una configuración SWC-MRC con topología S/P como se muestra en la Fig. 3. 

La frecuencia de resonancia del La bobina del transmisor y la bobina del receptor son ωTx y ωRx, respectivamente, y son iguales a ω ◦, que es 6,78 MHz. El sistema funciona en la configuración S/P. El sistema propuesto se probó con un espacio de aire de entre 1 y 10 cm que separaba la bobina transmisora y la bobina receptora. Se utilizaron varios voltajes inducidos que oscilaban entre 5 y 60 V para probar el sistema. Como se muestra en la Fig. 3, Us, LTx, CTx representan los voltajes obtenidos del oscilador, la inductancia de la bobina del transmisor y el capacitor de compensación del transmisor, respectivamente. LRx y CRx indican la inductancia de la bobina del receptor y el condensador de compensación del receptor, respectivamente. Los valores de CTx y CRx se pueden calcular utilizando las ecuaciones 1, 2 y 3 [50], [51]. 





FIGURA 1. Forma de bobina de tela de araña para el sistema SWC-MRC propuesto: (a) forma de bobina de tela de araña (b) bobina transmisora y (c) bobina receptora
FIGURA 2. Tecnología de administración de energía basada en GaN: (a) Una placa amplificadora EPC9065 y (b) Conexión y configuración de medición adecuadas para la placa amplificadora [49].

FIGURA 3. Diagrama esquemático del sistema SWC-MRC propuesto utilizando topología S/P 

En este trabajo, LTx y LRx son 10 µH y 5 µH, respectivamente, a 6,78 MHz según las ecuaciones 2 y 3. Los valores de los condensadores cerámicos adoptados CTx y CRx son 55 picofaradios (pF) y 110 pF, respectivamente. El diámetro exterior de la bobina del transmisor (dTx) es de 12,2 cm y el diámetro exterior del receptor (dRx) es de 11,5 cm. El voltaje inducido y reflejado se describe mediante la inductancia mutua M y la frecuencia de operación ωo. El valor de M se determina induciendo una fuerza electromotriz en la bobina receptora cambiando la corriente que la atraviesa. El valor de M entre LTx y LRx se calcula utilizando la ecuación 4 [31] de la siguiente manera: 
donde µo es la permeabilidad del espacio libre (4π × 10−7) [52], NTx y NRx son el número de vueltas en la bobina transmisora y receptora, respectivamente. El valor de X es la distancia del entrehierro entre las bobinas del transmisor y del receptor. Además, cuando la impedancia reactiva de la bobina en la configuración S/P se vuelve cero y la reactancia de la bobina es cercana a cero, se produce resonancia [53]. La bobina del receptor atravesada por una cantidad específica de flujo magnético representada por el coeficiente de acoplamiento k se puede medir mediante la ecuación 5 [54] de la siguiente manera:
La potencia de salida entregada se calculó usando la ecuación 6, y la eficiencia de transferencia de potencia se calculó usando la ecuación 7 [55], [56]
El voltaje y la corriente en la ecuación 6 son el voltaje de carga y la corriente de carga, respectivamente. En la ecuación 7, Pout representa la potencia entregada y Pin es la potencia de entrada. Tanto Pout como Pin se miden en vatios. 
VI. CONFIGURACIÓN EXPERIMENTAL 
En este estudio, se utilizó la configuración SWC-MRC. Se realizaron tres experimentos basados en la topología S/P para evaluar el rendimiento del SWC-MRC. El diagrama de bloques del experimento ilustrado en la Fig. 4 identifica los componentes principales del sistema. La configuración experimental del diseño SWC-MRC propuesto se configuró para investigar el desempeño del trabajo sugerido relacionado con el voltaje de salida de CC, la potencia transferida, la eficiencia de transferencia de energía y el espacio de aire entre las bobinas del transmisor y el receptor. En esta configuración, el ZVS se basa en el funcionamiento de la placa de desarrollo EPC9065, pero no limitado a la banda industrial, científica y médica más baja con una frecuencia operativa de 6,78 MHz. 
La placa EPC9065 incluye dos fuentes de alimentación de CC para el oscilador y la puerta del controlador de transistores GaN en modo mejorado (eGaN FET). El controlador de puerta es responsable de suministrar energía al amplificador de potencia de clase D. Con base en la guía de hojas EPC9065 [49], el suministro de control y accionamiento del portón debe oscilar entre 7,5 V CC y 12 V CC. El suministro de voltaje de la placa EPC9065 no debe exceder los 80 V.
 En este estudio, el suministro del variador de puerta se fija en 8 V, que es adecuado para operar el variador. El suministro de voltaje adoptado está entre 5 V y 60 V. El sistema se examinó en diferentes distancias que oscilaban entre 1 y 10 cm en cada paso de 1 cm. Se investigaron tres cargas de resistencia (50, 100 y 150) para cada valor de suministro de voltaje y distancia. Al principio, el voltaje de salida de CC se midió cuando la distancia transferida era de 1 cm, el suministro de voltaje era de 5 V y la carga resistiva era de 50 V. Además, la potencia entregada y la eficiencia de transferencia de potencia se calcularon basándose en las mediciones de la corriente y el voltaje de salida de CC. La distancia se aumentó un paso (es decir, 1 cm) y se investigaron los mismos parámetros hasta alcanzar el espacio de aire de 10 cm. Los pasos mencionados anteriormente se realizaron nuevamente para el otro valor de voltaje hasta alcanzar los 60 V. La Fig. 5 muestra la configuración experimental del sistema SWC-MRC propuesto. 
VII. RESULTADO Y DISCUSIÓN
 En esta sección, presentamos los hallazgos de la implementación de nuestro sistema SWC-MRC propuesto, que convierte CA a CC y analiza el voltaje de salida de CC, la potencia de salida entregada y la eficiencia de transferencia de energía como una función del suministro de voltaje aplicado Vfuente dentro de un rango específico. de distancia de transferencia. Aumentamos gradualmente la distancia de transferencia entre las bobinas del transmisor y del receptor de 1 a 10 cm en pasos de 1 cm para determinar el voltaje de salida de CC máximo, la potencia de salida entregada, la eficiencia de transferencia y la distancia de transferencia que puede alcanzar este sistema SWC-MRC. . Se consideraron tres cargas resistivas diferentes (50, 100 y 150) para cada prueba porque estos valores fueron recomendados en varios trabajos de investigación [12], [35]. 
A. RESULTADOS DEL VOLTAJE DE SALIDA DE CC 
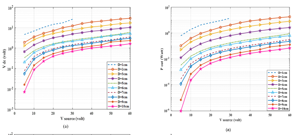
En el sistema SWC-MRC propuesto, los voltajes de salida de CC se midieron usando un multímetro. El Vsource se varió de 5 a 60 V paso a paso en 5 V. El voltaje de salida de CC se midió para cada valor de Vsource para tres casos de carga resistiva. Además, se obtuvieron mediciones para diferentes distancias de transferencia entre las bobinas del transmisor y del receptor. Esta distancia de transferencia osciló entre 1 y 10 cm en pasos de 1 cm. El cambio en Vsource, en voltios, se traza en el eje x; El voltaje de salida de CC obtenido, en voltios, se traza en el eje y, como se muestra en la Fig. 6. A medida que Vsource aumenta de 5 a 60 V, el voltaje de salida de CC también aumenta en la misma distancia. Se observó que el mejor rendimiento se obtiene en distancias pequeñas. Por ejemplo, el voltaje de salida de CC era de 12,3 V cuando la Vsource era de 30 V, y el espacio de aire entre el transmisor y
FIGURA 4. Componentes principales del sistema del experimento SWC-MRC


FIGURA 5. Configuración experimental del sistema SWC-MRC propuesto.
Las bobinas del receptor eran de 2 cm cuando el sistema se cargó a 50 como se muestra en la Fig. 6a. Sin embargo, el voltaje de salida de CC cae cuando la distancia es inferior a 1 cm y la fuente V era de 30 V con una carga resistiva de 50 . Esto ocurre debido al aumento de calor a través de la bobina del transmisor. La Fig. 6 muestra que no hay voltaje de salida de CC después de 30 V de Vsource, porque el voltaje de salida de CC se reduce a valores mínimos cuando el entrehierro es inferior a 2 cm. Mientras que el voltaje de salida de CC medido fue de 20,4 V y 26,5 V, respectivamente, para las mismas condiciones del entrehierro y Vsource cuando el sistema está cargado a 100 y 150 . Por el contrario, el voltaje de salida de CC cae a 2 cm y 3 cm, respectivamente, cuando el sistema propuesto se carga con 100 y 150 y la fuente V es superior a 40 V. Se puede investigar el rendimiento del SWC-MRC a una CC de 5 V, donde este voltaje se puede emplear para suministrar energía a un dispositivo BMI. El voltaje de salida de CC de 5 V se puede realizar de 6 cm, 8 cm y 9 cm a 50 (Fig. 6a), 100 (Fig. 6b) y 150 (Fig. 6c), respectivamente, cuando el Vsource es 60 V. 
B. RESULTADOS DE LA POTENCIA DE SALIDA ENTREGADA
 Un BMI que funciona correctamente requiere energía eléctrica para mantener su actividad. Dependiendo de las aplicaciones de BMI, la potencia requerida de un BMI varía desde unos pocos microvatios hasta decenas de milivatios. Sin embargo, la especificación de la batería está limitada por su capacidad y vida útil, lo que hace que el reemplazo quirúrgico sea una desventaja básica para este BMI. En nuestro sistema SWC-MRC propuesto, se estudia la transferencia de potencia medida en tres cargas diferentes, como se ilustra en la Fig. 7. La potencia entregada se calculó de acuerdo con la ecuación 6 en la sección 5.
La medición se registró a una distancia de transferencia diferente entre el transmisor y el receptor, entre 1 y 10 cm. La Fig. 7 muestra que el eje x representa la fuente de voltaje aplicada en voltios, mientras que el eje y denota la potencia de salida entregada calculada en vatios. La potencia de salida entregada se calculó para tres cargas: 50, 100 y 150, como se muestra en las figuras 7a, 7b y 7c, respectivamente. La Fig. 7a muestra que cuando el sistema SWC-MRC propuesto tiene una carga resistiva de 50, la potencia de salida entregada es de 4.059 W a una distancia de transferencia de 2 cm, y la Vsource es de 30 V. Mientras que, encontramos que la salida entregada La potencia es de 17,69 W a 2 cm cuando la Vsource aumentó a 60 V. Las figuras 7b y 7c muestran que la potencia de salida entregada fue de 7,956 W y 9,805 W con un espacio de aire de 2 cm y una Vsource de 30 V cuando se propuso el SWC- MRC está cargado con 100 y 150, respectivamente. La potencia de salida entregada fue de 10,5825 W y 7,2603 W, respectivamente, con un espacio de aire de 3 cm a 4 cm y una Vsource de 60 V cuando el SWC-MRC propuesto se cargó con 100 y 150 . La potencia entregada se redujo a 0,066 W, 0,129 W y 0,177 W a 10 cm y con una fuente V de 60 V para 50, 100 y 150, como se muestra en las figuras 7a, 7b y 7c, respectivamente. Sin embargo, la potencia entregada se redujo a 0,012 W, 0,017 W y 0,033 W a 10 cm y con una fuente V de 30 V para 50, 100 y 150, respectivamente, como se muestra en las figuras 7a, 7b y 7c. En este contexto, la potencia entregada de 0,612 V, 0,375 V y 0,311 W se puede lograr para 6 cm, 8 cm y 9 cm a 50 (Fig. 7a), 100 (Fig. 7b) y 150. (Fig. 7c), respectivamente, cuando Vsource es 60 V. Este resultado se ajusta al requisito para BMI con bajo consumo de energía como se recomienda en [57], [58].
 C. RESULTADOS DE LA EFICIENCIA DE TRANSFERENCIA 
Para el sistema SWC-MRC propuesto, la eficiencia de transferencia se considera una métrica vital para investigar el desempeño del sistema. Se utilizaron tres cargas diferentes para verificar la eficiencia de transferencia, como se demuestra en la Fig. 8. La eficiencia de transferencia se calculó de acuerdo con la ecuación 7 en la sección 5 como se mencionó anteriormente; en nuestros experimentos se consideraron las variables de la fuente de voltaje, la distancia de transferencia y la carga. . La Fig. 8 muestra que el eje x representa la fuente de voltaje aplicada en voltios, mientras que el eje y indica el porcentaje de eficiencia de transferencia. Como se muestra en la Fig. 8, la eficiencia de transferencia disminuye cuando aumenta la distancia. La Fig. 8a revela que la eficiencia de transferencia máxima fue del 91,86% obtenida con un espacio de aire de 1 cm cuando el sistema SWC-MRC propuesto se cargó con 50 y un suministro de 30 V. Además, la eficiencia de transferencia mínima es del 0,73% en distancias adicionales de 10 cm en la misma fuente V. Además, cuando la Vsource es de 60 V, las eficiencias de transferencia máxima y mínima son 81,90% y 0,94% a 2 y 10 cm, respectivamente. La eficiencia de transferencia máxima se desarrolló al 97,91% con un espacio de aire de 1 cm cuando se adoptó una fuente V de 30 V y una carga resistiva de 100, como se muestra en la figura 8b. Por el contrario, la eficiencia de transferencia se deteriora al 1,05% cuando se considera un espacio de aire de 10 cm. Aquí, las eficiencias de transferencia máxima y mínima fueron 92,99% y 1,39% a 1 cm y una fuente V de 20 V, respectivamente, cuando el sistema se carga a 150 como se muestra en la Fig. 8c. El voltaje de salida de CC de 5 V se logró con eficiencias de transferencia de 8,36 %, 5,38 % y 4,32 % correspondientes a 6 cm, 8 cm y 9 cm para 50 (Fig. 8a), 100 (Fig. 8b), y 150 (Fig. 8c) en una fuente V de 60 V, respectivamente
VIII. RESULTADOS DE COMPARACIÓN DE MÉTRICAS DE RENDIMIENTO
 A partir de los resultados antes mencionados, las métricas de rendimiento del SWC-MRC propuesto se pueden comparar en términos de diferentes cargas (es decir, 50, 100 y 150) cuando hay una distancia de 4 cm entre la transferencia y el receptor. Se consideran las bobinas, como se muestra en la Fig. 9. Se seleccionó una distancia de transferencia de 4 cm porque el voltaje de salida de CC se podía medir para todos los valores de Vsource,
y el efecto del calor de la bobina disminuye a esta distancia. Por lo tanto, la potencia de salida entregada y la eficiencia de transferencia podrían determinarse fácilmente. Las figuras 9a, 9b y 9c ilustran la comparación del voltaje de salida de CC, la potencia de salida entregada y la eficiencia de transferencia, respectivamente, según el cambio en la Vfuente aplicada dentro de una distancia fija (es decir, 4 cm). Todas las cifras reveladas para indicar que el mejor rendimiento en términos de voltaje de salida de CC se obtuvieron con una carga de 150 resistivos, mientras que el peor caso se encontró con una carga de 50 resistivos. El rendimiento del SWC-MRC para la distancia seleccionada (es decir, 4 cm) a 5 V CC demostró una potencia de salida entregada de 0,617 W, 0,625 W y 0,362 W y una eficiencia de transferencia de 25,74 %, 32,47 % y 43,18 % a 50 (Fig. 9a), 100 (Fig. 9b) y 150 (Fig. 9c) cuando la Vsource era 30 V, 25 V y 15 V, respectivamente. El resultado obtenido es apropiado para la carga y satisface los requisitos de IMC con bajo consumo de energía, como marcapasos cardíacos e implantes neuronales. Finalmente, las métricas de rendimiento del SWC-MRC propuesto se pueden examinar para diferentes distancias con tres cargas (es decir, 50, 100 y 150) cuando se adoptaron 20 V del Vsource como se presenta en la Fig. 10. La cantidad Se eligió un voltaje de 20 V porque las mediciones eran estables a este voltaje y el efecto del calor se reduce. El rendimiento del SWC-MRC para el voltaje elegido (es decir, 20 V) y con una potencia de 5 V CC demostró una potencia de salida entregada de 0,7961 W, 1,447 W y 0,459 W, respectivamente. Se observaron eficiencias de transferencia de 42,34%, 61,85% y 35,93% en 50 (Fig. 10a), 100 (Fig. 10b) y 150 (Fig. 10c) cuando los espacios de aire eran de 3 cm, 4 cm y 5 centímetros respectivamente. 
IX. COMPARACIÓN CON TRABAJOS ANTERIORES
 Las métricas de desempeño obtenidas del sistema SWC-MRC propuesto se pueden comparar con las métricas de otros académicos. Se realizó una comparación simple con investigaciones anteriores que utilizaban transferencia de energía inalámbrica en implantes y sensores biomédicos. En aplicaciones de BMI, la mayoría de los trabajos relacionados presentados han utilizado diferentes geometrías de bobina, como espiral, Helmholtz y otras bobinas. La bobina de telaraña de nuestro sistema propuesto rara vez se utiliza en aplicaciones de BMI. La comparación involucra muchas métricas como frecuencia de operación, tipo de bobina, distancia de transferencia, potencia entregada y eficiencia de transferencia entre varias configuraciones como se presenta en la Tabla 2. La tabla revela que las métricas de rendimiento de los estudios anteriores para diferentes distancias de transferencia entre el transmisor y Las bobinas del receptor se compararon con las del sistema SWC-MRC propuesto para confirmar el rendimiento del sistema propuesto. La comparación muestra que la eficiencia de transferencia máxima en el trabajo propuesto es del 97,91 % con un espacio de aire de 1 cm cuando la Vsource es de 30 V y la carga resistiva es de 100 . Además, la eficiencia de transferencia fue del 93,38 % con un espacio de aire de 2 cm entre las bobinas del transmisor y del receptor cuando el Vsource es de 35 V y la carga resistiva es de 150 . Además, la potencia entregada fue de 12,42 W a la misma distancia, Vsource y carga resistiva donde esta potencia es adecuada para suministrar potencia a IMC como DAVI, implantes biomédicos profundos y prótesis cocleares. 
X. CONCLUSIÓN 
Los sensores y el IMC son cruciales en el seguimiento, el diagnóstico y la aplicación terapéutica en la medicina y la atención sanitaria recientes. desarrollos. El suministro de energía y el consumo de energía son algunos de los desafíos que enfrenta el uso de estos dispositivos y sensores. La transferencia de energía inalámbrica es una de las soluciones para superar los problemas de carga y capacidad de la batería. La transferencia de energía inalámbrica, específicamente MRC, desempeña un papel esencial en la carga inalámbrica de sistemas biomédicos implantables, como marcapasos y prótesis cocleares. Se ha diseñado e implementado un SWC-MRC con una configuración S/P para un sistema BMI con carga inalámbrica para varios suministros de entrada y diferentes distancias de transferencia entre las bobinas transmisora y receptora para tres casos de cargas 50, 100 y 150. investigado. Se diseñó una bobina de araña con un diámetro de bobina de 20 AWG para las bobinas del transmisor y del receptor. La implementación del SWC-MRC ha sido examinada en medio aéreo sin evaluar la seguridad del cuerpo humano ni del campo electromagnético. Observamos que el aumento en el valor de la carga resistiva resultó en una mejor entrega de potencia y eficiencia a una distancia de transferencia mayor con el mismo voltaje de entrada. Además, la eficiencia del sistema disminuye a medida que aumenta el espacio de aire entre el transmisor y el receptor para el mismo voltaje de entrada. Además, la configuración S/P para bobina asimétrica logra lograr una salida de CC de 5 V adecuada para suministrar voltaje a la carga o al implante biomédico a través de un espacio de aire de 2 cm entre la bobina del transmisor y el receptor. El trabajo futuro utilizará otra configuración para optimizar el voltaje de salida y la eficiencia de transferencia, así como la potencia de transferencia que ha brindado un rango más amplio de distancia de transferencia. La investigación actual no consideró el tejido humano porque requiere varios experimentos extensos para reducir el tamaño de la bobina receptora. Una tarea futura de esta investigación será reducir el tamaño de la bobina del receptor para que sea más conveniente cuando se implanta en tejidos animales e incluso en tejido humano. 
REFERENCIAS
[1] A. Ballo, M. Bottaro, and A. D. Grasso, ‘‘A review of power management
integrated circuits for ultrasound-based energy harvesting in implantable
medical devices,’’ Appl. Sci., vol. 11, no. 6, p. 2487, Mar. 2021, doi:
10.3390/app11062487.
[2] J. Ausra, S. J. Munger, A. Azami, A. Burton, R. Peralta, J. E. Miller, and
P. Gutruf, ‘‘Wireless battery free fully implantable multimodal recording
and neuromodulation tools for songbirds,’’ Nature Commun., vol. 12, no. 1,
pp. 1–12, Dec. 2021, doi: 10.1038/s41467-021-22138-8.
[3] A. Zurbuchen, A. Haeberlin, A. Pfenniger, L. Bereuter, J. Schaerer,
F. Jutzi, C. Huber, J. Fuhrer, and R. Vogel, ‘‘Towards batteryless cardiac implantable electronic devices—The Swiss way,’’ IEEE Trans.
Biomed. Circuits Syst., vol. 11, no. 1, pp. 78–86, Feb. 2017, doi:
10.1109/TBCAS.2016.2580658.
[4] H.-P. Phan, ‘‘Implanted flexible electronics: Set device lifetime with smart
nanomaterials,’’ Micromachines, vol. 12, no. 2, p. 157, Feb. 2021, doi:
10.3390/mi12020157.
[5] A. M. Jawad, R. Nordin, S. K. Gharghan, H. M. Jawad, and
M. Ismail, ‘‘Opportunities and challenges for near-field wireless power
transfer: A review,’’ Energies, vol. 10, no. 7, pp. 1–11, 2017, doi:
10.3390/en10071022.
[6] R. Shadid and S. Noghanian, ‘‘A literature survey on wireless power
transfer for biomedical devices,’’ Int. J. Antennas Propag., vol. 2018,
Jan. 2018, Art. no. 4382841, doi: 10.1155/2018/4382841.
[7] M. A. Houran, X. Yang, and W. Chen, ‘‘Magnetically coupled resonance
WPT: Review of compensation topologies, resonator structures with misalignment, and EMI diagnostics,’’ Electronics, vol. 7, no. 11, p. 296, 2018,
doi: 10.3390/electronics7110296.
[8] T. Campi, S. Cruciani, V. De Santis, F. Maradei, and M. Feliziani, ‘‘Near
field wireless powering of deep medical implants,’’ Energies, vol. 12,
no. 14, p. 2720, Jul. 2019, doi: 10.3390/en12142720.
[9] H. Qiang, X. Huang, L. Tan, and H. Huang, ‘‘Study on topology design of
wireless power transfer for Electric Vehicle based on magnetic resonance
coupling,’’ Adv. Mater. Res., vols. 308–310, pp. 1000–1003, Apr. 2011, doi:
10.4028/www.scientific.net/AMR.308-310.1000.
[10] D. Sun, M. Chen, S. Podilchak, A. Georgiadis, Q. S. Abdullahi, R. Joshi,
S. Yasin, J. Rooney, and J. Rooney, ‘‘Investigating flexible textile-based
coils for wireless charging wearable electronics,’’ J. Ind. Textiles, vol. 50,
no. 3, pp. 333–345, Sep. 2020, doi: 10.1177/1528083719831086.
[11] Y. Liu, Y. Li, J. Zhang, S. Dong, C. Cui, and C. Zhu, ‘‘Design a wireless power transfer system with variable gap applied to left ventricular
assist devices,’’ in Proc. IEEE PELS Workshop Emerg. Technol., Wireless
Power Transf. (Wow), Montreal, QC, Canada, Jun. 2018, pp. 1–5, doi:
10.1109/WoW.2018.8450655.
[12] M. F. Mahmood, S. L. Mohammed, S. K. Gharghan, A. Al-Naji, and
J. Chahl, ‘‘Hybrid coils-based wireless power transfer for intelligent sensors,’’ Sensors, vol. 20, no. 9, p. 2549, Apr. 2020, doi: 10.3390/s20092549.
[13] L. Gu and J. Rivas-Davila, ‘‘1.7 kW 6.78 MHz wireless power transfer
with air-core coils at 95.7% DC-DC efficiency,’’ in Proc. IEEE Wireless
Power Transf. Conf., San Diego, CA, USA, Jun. 2021, pp. 1–4, doi:
10.1109/WPTC51349.2021.9458037.
[14] S.-H. Hwang, C. Kang, Y.-H. Son, and B.-J. Jang, ‘‘Software-based wireless power transfer platform for various power control experiments,’’ Energies, vol. 8, no. 8, pp. 7677–7689, Jul. 2015, doi: 10.3390/en8087677.
[15] J. Wu, C. Zhao, Z. Lin, J. Du, Y. Hu, and X. He, ‘‘Wireless power
and data transfer via a common inductive link using frequency division
multiplexing,’’ IEEE Trans. Ind. Electron., vol. 62, no. 12, pp. 7810–7820,
Dec. 2015, doi: 10.1109/TIE.2015.2453934.
[16] X. Ge, L. Cheng, Y. Yao, and W.-H. Ki, ‘‘A 6.78 MHz single-stage wireless
power transmitter using a 3-mode zero-voltage switching class-D PA,’’
IEEE Trans. Circuits Syst. I, Reg. Papers, vol. 68, no. 6, pp. 2736–2748,
Jun. 2021, doi: 10.1109/TCSI.2021.3071265.
[17] J. Yang, Y. Shi, W. Y. Wei, and H. Shen, ‘‘A wireless power transfer system based on impedance matching network,’’ Int. J. RF Microw.
Comput.-Aided Eng., vol. 30, no. 12, Dec. 2020, Art. no. e22437, doi:
10.1002/mmce.22437.
[18] Q. Wang, W. Che, M. Dionigi, F. Mastri, M. Mongiardo, and G. Monti,
‘‘Gains maximization via impedance matching networks for wireless
power transfer,’’ Prog. Electromagn. Res., vol. 164, pp. 135–153, 2019,
doi: 10.2528/PIER18102402.
[19] M. Al-Saadi, S. Valtchev, L. Romba, J. Gonçalves, and A. Cráciunescu,
‘‘Comparison of spiral and square coil configurations in wireless
power transfer system for contactless battery charging,’’ in Proc.
Electr. Veh. Int. Conf., Bucharest, Romania, Oct. 2019, pp. 1–5, doi:
10.1109/EV.2019.8892897.
[20] B. H. Waters, J. Park, J. C. Bouwmeester, J. Valdovinos, A. Geirsson,
A. P. Sample, J. R. Smith, and P. Bonde, ‘‘Electrical power to run ventricular assist devices using the free-range resonant electrical energy delivery
system,’’ J. Heart Lung Transplantation, vol. 37, no. 12, pp. 1467–1474,
Dec. 2018, doi: 10.1016/j.healun.2018.08.007.
[21] T. Campi, S. Cruciani, F. Maradei, and M. Feliziani, ‘‘Coil design of a
wireless power-transfer receiver integrated into a left ventricular assist
device,’’ Electronics, vol. 10, no. 8, p. 874, Apr. 2021, doi: 10.3390/electronics10080874.
[22] M. Haerinia and R. Shadid, ‘‘Wireless power transfer approaches for medical implants: A review,’’ Signals, vol. 1, no. 2, pp. 209–229, Dec. 2020,
doi: 10.3390/signals1020012.
[23] K. Gharghan and S. Fakhrulddin, ‘‘Energy-efficient elderly fall detection
system based on power reduction and wireless power transfer,’’ Sensors,
vol. 19, no. 20, p. 4452, Oct. 2019, doi: 10.3390/s19204452.
[24] M. F. Mahmood, S. L. Mohammed, S. K. Gharghan, and S. L. Zubaidi,
‘‘Wireless power transfer based on spiral–spider coils for a wireless heart rate sensor,’’ in Proc. 13th Int. Conf. Develop. Systems Eng. (DeSE), Liverpool, U.K., Dec. 2020, pp. 183–188, doi:
10.1109/DeSE51703.2020.9450775.
[25] S. Guo, P. Zhang, J. Guo, L. Wang, and G. Sun, ‘‘Design of wireless power
transmission system based on magnetic coupling resonant for the capsule
endoscopy,’’ in Proc. IEEE Int. Conf. Mechatronics Autom., Takamatsu,
Japan, Jun. 2017, pp. 23–28, doi: 10.1109/ICMA.2017.8015782.
[26] T. Campi, S. Cruciani, F. Maradei, and M. Feliziani, ‘‘Wireless power
supply system for left ventricular assist device and implanted cardiac
defibrillator,’’ in Proc. IEEE Wireless Power Transf. Conf., San Diego, CA,
USA, Jun. 2021, pp. 1–4, doi: 10.1109/WPTC51349.2021.9458163.
167684 VOLUME 9, 2021
A. I. Mahmood et al.: Wireless Power Transfer Based on Spider Web–Coil for Biomedical Implants
[27] L. Huang, A. Murray, and B. W. Flynn, ‘‘Optimal design of a 3-coil
wireless power transfer system for deep micro-implants,’’ IEEE Access,
vol. 8, pp. 193183–193201, 2020, doi: 10.1109/ACCESS.2020.3031960.
[28] K. L. Montgomery, A. J. Yeh, J. S. Ho, V. Tsao, S. M. Iyer, L. Grosenick,
E. A. Ferenczi, Y. Tanabe, K. Deisseroth, S. L. Delp, and A. S. Y. Poon,
‘‘Wirelessly powered, fully internal optogenetics for brain, spinal and
peripheral circuits in mice,’’ Nat. Methods, vol. 12, no. 10, pp. 969–974,
2015, doi: 10.1038/nmeth.3536.
[29] L. Zhao, D. Thrimawithana, and U. K. Madawala, ‘‘Hybrid bidirectional wireless EV charging system tolerant to pad misalignment,’’ IEEE
Trans. Ind. Electron., vol. 64, no. 9, pp. 7079–7086, Sep. 2017, doi:
10.1109/TIE.2017.2686301.
[30] G. Guidi and J. A. Suul, ‘‘Minimizing converter requirements of inductive
power transfer systems with constant voltage load and variable coupling
conditions,’’ IEEE Trans. Ind. Electron., vol. 63, no. 11, pp. 6835–6844,
Nov. 2016, doi: 10.1109/TIE.2016.2582459.
[31] M. Saad, A. H. Mahammad, A. S. Salina, and H. Aini, ‘‘Analysis and
optimization of spiral circular inductive coupling link for bio-implanted
applications on air and within human tissue,’’ Sensors, vol. 14, no. 7,
pp. 11522–11541, Jun. 2014, doi: 10.3390/s140711522.
[32] X. Mou, D. T. Gladwin, R. Zhao, and H. Sun, ‘‘Survey on magnetic
resonant coupling wireless power transfer technology for electric vehicle
charging,’’ IET Power Electron., vol. 12, no. 12, pp. 3005–3020, 2019, doi:
10.1049/iet-pel.2019.0529.
[33] M. Al-Saadi and S. Valtchev, ‘‘New analytical formulas for coupling
coefficient of two inductively coupled ring coils in inductive wireless
power transfer system,’’ Soc. Telecommun. Eng. LNICST, vol. 333, no. 2,
pp. 117–127, 2020, doi: 10.1007/978-3-030-62483-5_13.
[34] D. Kim, D. Jeong, J. Kim, H. Kim, J. Kim, S.-M. Park, and S. Ahn,
‘‘Design and implementation of a wireless charging-based cardiac monitoring system focused on temperature reduction and robust power
transfer efficiency,’’ Energies, vol. 13, no. 4, p. 1008, Feb. 2020, doi:
10.3390/en13041008.
[35] S. Peng, M. Liu, Z. Tang, and C. Ma, ‘‘Optimal design of megahertz wireless power transfer systems for biomedical implants,’’ in Proc. IEEE 26th
Int. Symp. Ind. Electron. (ISIE), Edinburgh, U.K., Jun. 2017, pp. 805–810,
doi: 10.1109/ISIE.2017.8001349.
[36] J. Kim, H. Kim, D. Kim, H.-J. Park, K. Ban, S. Ahn, and S.-M. Park,
‘‘A wireless power transfer based implantable ECG monitoring device,’’
Energies, vol. 13, no. 4, p. 905, Feb. 2020, doi: 10.3390/en13040905.
[37] J.-C. Heo, J. Park, S. Kim, J. Ku, and J.-H. Lee, ‘‘Development and application of wireless power transmission systems for wireless ECG sensors,’’
J. Sensors, vol. 2018, pp. 1–7, Dec. 2018, doi: 10.1155/2018/5831056.
[38] S. J. M. Yazdi, S. Cho, and J.-H. Lee, ‘‘Analysis and optimization
of six types of two-coil inductive for the human implantable wireless
electrocardiogram sensor,’’ Proc. SPIE Opt. Fibers Sensors Med. Diag.,
Treatment Environ. Appl., vol. 11635, Oct. 2021, Art. no. 116350, doi:
10.1117/12.2582372.
[39] S. Dubey and J. C. Chiao, ‘‘Power transfer for a flexible gastric stimulator,’’
in Proc. IEEE Topical Conf. Biomed. Wireless Technol., Netw., Sens.
Syst., Austin, TX, USA, Jan. 2016, pp. 15–17, doi: 10.1109/BIOWIRELESS.2016.7445549.
[40] C. Cui, Q. Zhao, and Z. Li, ‘‘Design of wireless power supply optimized
structure for capsule endoscopes,’’ J. Power Technol., vol. 96, no. 2,
pp. 101–109, 2016.
[41] Y. Ben Fadhel, S. Ktata, K. Sedraoui, S. Rahmani, and K. Al-Haddad,
‘‘A modified wireless power transfer system for medical implants,’’ Energies, vol. 12, no. 10, p. 1890, May 2019, doi: 10.3390/en12101890.
[42] D. Xu, Q. Zhang, and X. Li, ‘‘Implantable magnetic resonance wireless
power transfer system based on 3D flexible coils,’’ Sustainability, vol. 12,
no. 10, p. 4149, May 2020, doi: 10.3390/su12104149.
[43] A. Ibrahim and M. Kiani, ‘‘Inductive power transmission to millimetersized biomedical implants using printed spiral coils,’’ in Proc. Annu. Int.
Conf. Eng. Med. Biol. Soc., Orlando, FL, USA, Aug. 2016, pp. 4800–4803,
doi: 10.1109/EMBC.2016.7591801.
[44] O. Knecht, R. Bosshard, and J. W. Kolar, ‘‘High-efficiency transcutaneous
energy transfer for implantable mechanical heart support systems,’’ IEEE
Trans. Power Electron., vol. 30, no. 11, pp. 6221–6236, Nov. 2015, doi:
10.1109/TPEL.2015.2396194.
[45] R. Shadid, M. Haerinia, S. Roy, and S. Noghanian, ‘‘Hybrid inductive
power transfer and wireless antenna system for biomedical implanted
devices,’’ Prog. Electromagn. Res. C, vol. 88, pp. 77–88, 2018, doi:
10.2528/PIERC18061604.
[46] M. Haerinia and S. Noghanian, ‘‘A printed wearable dual-band antenna for
wireless power transfer,’’ Sensors, vol. 19, no. 7, p. 1732, Apr. 2019, doi:
10.3390/s19071732.
[47] J. Sallan, J. L. Villa, A. Llombart, and J. F. Sanz, ‘‘Optimal design
of ICPT systems applied to electric vehicle battery charge,’’ IEEE
Trans. Ind. Electron., vol. 56, no. 6, pp. 2140–2149, Jun. 2009, doi:
10.1109/TIE.2009.2015359.
[48] M. A. Houran, X. Yang, W. Chen, and M. Samizadeh, ‘‘Wireless
power transfer: Critical review of related standards,’’ in Proc. Int.
Power Electron. Conf., Niigata, Japan, May 2018, pp. 1062–1066, doi:
10.23919/IPEC.2018.8507837.
[49] Development Board EPC9065. 6.78 MHz, High Power ZVS ClassD Development Board. Accessed: Aug. 12, 2020. [Online]. Available:
https://epcco.com/epc/Portals/0/epc/documents/guides/EPC9065_qsg.pdf
[50] J. Wang, M. Leach, E. G. Lim, Z. Wang, and Y. Huang, ‘‘Investigation
of magnetic resonance coupling circuit topologies for wireless power
transmission,’’ Microw. Opt. Technol. Lett., vol. 61, no. 7, pp. 1755–1763,
2019, doi: 10.1002/mop.31803.
[51] P. Abiri, A. Abiri, R. R. S. Packard, Y. Ding, A. Yousefi, J. Ma, M. Bersohn,
K.-L. Nguyen, D. Markovic, S. Moloudi, and T. K. Hsiai, ‘‘Inductively
powered wireless pacing via a miniature pacemaker and remote stimulation
control system,’’ Sci. Rep., vol. 7, no. 1, Dec. 2017, Art. no. 6187, doi:
10.1038/s41598-017-06493-5.
[52] M. A. Hussain, S. K. Gharghan, and H. Q. Hamood, ‘‘Single tube copper
coil via strong coupling wireless power transfer for low power devices,’’
J. Adv. Res. Dyn. Control Syst., vol. 11, no. 1, Special Issue, pp. 1818–1827,
2019.
[53] M. Rehman, P. Nallagownden, and Z. Baharudin, ‘‘Efficiency investigation
of SS and SP compensation topologies for wireless power transfer,’’ Int.
J. Power Electron. Drive Syst., vol. 10, no. 4, pp. 2157–2164, 2019, doi:
10.11591/ijpeds.v10.i4.2157-2164.
[54] L. Murliky, R. W. Porto, V. J. Brusamarello, F. Rangel de Sousa, and
A. Triviño-Cabrera, ‘‘Active tuning of wireless power transfer system
for compensating coil misalignment and variable load conditions,’’ AEUInt. J. Electron. Commun., vol. 119, May 2020, Art. no. 153166, doi:
10.1016/j.aeue.2020.153166.
[55] M. F. Mahmood, S. L. Mohammed, and S. K. Gharghan, ‘‘Free batterybased energy harvesting techniques for medical devices,’’ in IOP Conf.
Ser., Mater. Sci. Eng., vol. 745, no. 1, Dec. 2019, Art. no. 12094, doi:
10.1088/1757-899X/745/1/012094.
[56] M. F. Mahmood, S. K. Gharghan, S. L. Mohammed, A. Al-Naji,
and J. Chahl, ‘‘Design of powering wireless medical sensor based
on spiral-spider coils,’’ Designs, vol. 5, no. 4, p. 59, Sep. 2021, doi:
10.3390/designs5040059.
[57] C.-Y. Tsui, ‘‘Energy harvesting and power delivery for implantable medical devices,’’ Found. Trends Electron. Design Autom., vol. 7, no. 3,
pp. 179–246, 2013, doi: 10.1561/1000000029.
[58] A. Zebda, J.-P. Alcaraz, P. Vadgama, S. Shleev, S. D. Minteer, F. Boucher,
P. Cinquin, and D. K. Martin, ‘‘Challenges for successful implantation of
biofuel cells,’’ Bioelectrochemistry, vol. 124, pp. 57–72, Dec. 2018, doi:
10.1016/j.bioelechem.2018.05.011.
[59] M. R. Basar, M. Y. Ahmadm, J. Cho, and F. Ibrahim, ‘‘Stable
and high-efficiency wireless power transfer system for robotic capsule using a modified Helmholtz coil,’’ IEEE Trans. Ind. Electron.,
vol. 64, no. 2, pp. 1113–1122, Feb. 2017, doi: 10.1109/TIE.2016.
2614268.
[60] M. Sinclair, D. Biswas, T. L. J. Hyde, I. Mahbub, L. Chang, and Y. Hao,
‘‘Design of a flexible receiver module for implantable wireless power
transfer (WPT) applications,’’ in Proc. United States Nat. Committee URSI
Nat. Radio Sci. Meeting, Boulder, CO, USA, Jan. 2019, pp. 1–2, doi:
10.23919/USNC-URSI-NRSM.2019.8713015.
[61] M. A. Hussain, S. K. Gharghan, and H. Q. Hamood, ‘‘Design and implementation of wireless low-power transfer for medical implant devices,’’ in
IOP Conf. Ser., Mater. Sci. Eng., vol. 745, no. 1, pp. 16–17, Dec. 2019, doi:
10.1088/1757-899X/745/1/012087.
VOLUME 9, 2021 167685
A. I. Mahmood et al.: Wireless Power Transfer Based on Spider Web–Coil for Biomedical Implants
AMAL IBRAHIM MAHMOOD received the
B.Sc. and M.Sc. degrees in biomedical engineering from Al-Nahrain University, Iraq, in 2005
and 2009, respectively. She is currently pursuing
the Ph.D. degree with the Biomedical Engineering Department, Faculty of Engineering, Helwan
University, Cairo, Egypt. She is also a Lecturer
with the Department of Medical Instrumentation
Techniques Engineering, Electrical Engineering
Technical College, Middle Technical University
(MTU), Baghdad, Iraq. Her research interests include optical fibers, biomedical sensors, and wireless power transfer applications in the biomedical
implant.
SADIK KAMEL GHARGHAN (Member, IEEE)
received the B.Sc. degree in electrical and electronics engineering and the M.Sc. degree in communication engineering from the University of
Technology, Iraq, in 1990 and 2005, respectively, and the Ph.D. degree in communication
engineering from Universiti Kebangsaan Malaysia
(UKM), Malaysia, in 2016. He is currently with
the Department of Medical Instrumentation Techniques Engineering, Electrical Engineering Technical College, Middle Technical University, Baghdad, Iraq, as a Professor.
His research interests include energy-efficient wireless sensor networks,
biomedical sensors, microcontroller applications, WSN localization based
on artificial intelligence techniques and optimization algorithms, indoor and
outdoor path loss modeling, harvesting technique, wireless power transfer, jamming on direct sequence spread spectrums, and drone in medical
applications.
MOHAMED A. A. ELDOSOKY received the
B.Sc. degree in communication and electronics
from Helwan University, in 1997, the master’s
degree in microstrip antennas, in 2000, and the
Ph.D. degree in biomedical engineering in the
application of ultrasonic tomography, in 2005.
From 2005 to 2011, he became an Assistant
Professor in biomedical engineering. Since 2016,
he has been a Professor in biomedical engineering with Helwan University. He has more than 70
publications in biomedical engineering.
MUSTAFA FALAH MAHMOOD received the
B.Sc. degree in medical instrumentation techniques engineering from Middle Technical
University (MTU), Baghdad, Iraq, in 2010, and
the M.Sc. degree in medical instrumentation
engineering techniques from the Electrical Engineering Technical College, Baghdad, in 2020.
He is currently with the Department of Medical
Instrumentation Engineering Techniques, Electrical Engineering Technical College, MTU, as an
Assistant Teacher. His research interests include wireless energy transmission, alternative energy generation without the use of batteries, the design of
medical devices with low cost and high efficiency, biomedical sensors, and
microcontroller applications.
AHMED M. SOLIMAN received the B.Sc.
degree (Hons.) in biomedical engineering from
Helwan University, Helwan, Cairo, Egypt, in 2003,
the M.S. degree in biotechnology engineering
from the University of Chemical Technology and
Metallurgy (UCTM), Sofia, Bulgaria, in 2009,
and the M.S. and Ph.D. degrees in biomedical
engineering from Helwan University, in 2010 and
2017, respectively. From 2010 to 2012, he was an
exchange Ph.D. student with the Atomic Physics
Division, Lund Medical Laser Centre, Biophotonics Group, Physics Department, Faculty of Engineering (LTH), Lund University, Lund, Sweden. He is
currently an Assistant Professor with the Biomedical Engineering Department, Faculty of Engineering, Helwan University. His research interests
include surface acoustic wave devices, microfluidics, biosensors, biotechnology engineering, medical optics, biomedical devices, neural networks, deep
learning, and modeling and simulations in biomedical applications. He is also
a Technical Examiner Member at Egyptian Patent Office.
He received fellowships for M.Sc. degree and exchange Ph.D. degree
from Erasmus Mundus External Cooperation Window (EMECW) Program, in 2007 and 2010, respectively. Also, he received a fellowship
from Swedish Institute Scholarship for Ph.D. studies—Guest Scholarship
Program, Sweden, in 2012.

No hay comentarios.:

Publicar un comentario